精英家教网 > 高中数学 > 题目详情

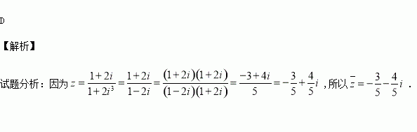
已知复数满足为虚数单位),则的共轭复数等于( )

A. B. C. D.

练习册系列答案
相关习题

科目:高中数学 来源:2016届云南省高考复习质量监测六文科数学试卷(解析版) 题型:选择题

已知是虚数单位,复数满足,则在复平面上对应的点位于( )

A.第一象限 B.第二象限 C.第三象限 D.第四象限

查看答案和解析>>

科目:高中数学 来源:2016届海南省高考模拟十文科数学试卷(解析版) 题型:选择题

过抛物线的焦点的直线依次交抛物线及其准线于点,若,且,则抛物线的方程为( )

A. B. C. D.

查看答案和解析>>

科目:高中数学 来源:2015-2016学年西藏日喀则一中高二4月月考理科数学试卷(解析版) 题型:填空题

已知函数单调递增,则实数的取值范围是_______________.

查看答案和解析>>

科目:高中数学 来源:2015-2016学年西藏日喀则一中高二4月月考理科数学试卷(解析版) 题型:选择题

已知命题,命题,若命题是真命题,则实数的取值范围是( )

A. B. C. D.

查看答案和解析>>

科目:高中数学 来源:2015-2016学年辽宁省高二下期中文科数学试卷(解析版) 题型:解答题

定义在上的函数满足条件:对所有正实数成立,且,当时,有成立.

(1)求的值;

(2)证明:函数上为单调递增函数;

(3)解关于的不等式:.

查看答案和解析>>

科目:高中数学 来源:2015-2016学年辽宁省高二下期中文科数学试卷(解析版) 题型:填空题

函数的值域为 .

查看答案和解析>>

科目:高中数学 来源:2015-2016学年辽宁省高二下期中理科数学试卷(解析版) 题型:解答题

已知数列的通项公式为:为自然对数的底数).

(1)计算,由此推测计算的公式,并给出证明;

(2)若,求证:.

查看答案和解析>>

科目:高中数学 来源:2015-2016学年北大附中河南分校高二下期中理科数学试卷(解析版) 题型:解答题

函数的极小值为-8,其导函数的图象过点,如图所示:

(1)求的解析式;

(2)若对都有恒成立,求实数的取值范围.

查看答案和解析>>

同步练习册答案