精英家教网 > 高中数学 > 题目详情

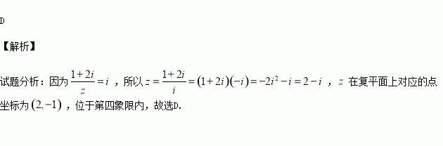
已知是虚数单位,复数满足,则在复平面上对应的点位于( )

A.第一象限 B.第二象限 C.第三象限 D.第四象限

练习册系列答案
相关习题

科目:高中数学 来源:2015-2016学年江西省高二下期中文科数学试卷(解析版) 题型:选择题

已知集合,则( )

A. B. C. D.

查看答案和解析>>

科目:高中数学 来源:2016届湖南省长沙市高考模拟一理科数学试卷(解析版) 题型:选择题

在菱形中,,将折起到的位置,若三棱锥的外接球的体积为,则二面角的正弦值为( )

A. B. C. D.

查看答案和解析>>

科目:高中数学 来源:2016届云南省高考复习质量监测六文科数学试卷(解析版) 题型:填空题

已知,则的最小值是

查看答案和解析>>

科目:高中数学 来源:2016届云南省高考复习质量监测六文科数学试卷(解析版) 题型:选择题

一个算法程序如图所示,则输出的的值为( )

A. B. C. D.

查看答案和解析>>

科目:高中数学 来源:2016届海南省高考模拟十理科数学试卷(解析版) 题型:解答题

已知函数,其中.

(1)若,求的单调区间;

(2)若,且当时,总成立,求实数的取值范围;

(3)若,若存在两个极值点,求证:.

查看答案和解析>>

科目:高中数学 来源:2016届海南省高考模拟十理科数学试卷(解析版) 题型:填空题

定义在上的函数,则不等式的解集为 .

查看答案和解析>>

科目:高中数学 来源:2016届海南省高考模拟十文科数学试卷(解析版) 题型:解答题

已知函数.

(1)函数在点处的切线与直线平行,求函数的单调区间;

(2)设函数的导函数为,对任意的,若恒成立,求的取

值范围.

查看答案和解析>>

科目:高中数学 来源:2015-2016学年西藏日喀则一中高二4月月考理科数学试卷(解析版) 题型:选择题

已知复数满足为虚数单位),则的共轭复数等于( )

A. B. C. D.

查看答案和解析>>

同步练习册答案