精英家教网 > 高中数学 > 题目详情

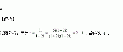
设复数满足,则复数

A. B. C. D.

练习册系列答案
相关习题

科目:高中数学 来源:2015-2016学年福建省高一上期中数学试卷(解析版) 题型:填空题

已知是方程的两根,且,则的范围是________.

查看答案和解析>>

科目:高中数学 来源:2015-2016学年广东省惠州市高二上期中理科数学试卷(解析版) 题型:选择题

如果命题“”是真命题,则( )

A.命题p、q均为假命题

B.命题p、q均为真命题

C.命题p、q中至少有一个是真命题

D.命题p、q中至多有一个是真命题

查看答案和解析>>

科目:高中数学 来源:2015-2016学年安徽省蚌埠市高二上期中理科数学试卷(解析版) 题型:选择题

直线的倾斜角为 ( )

A. B. C. D.

查看答案和解析>>

科目:高中数学 来源:2016届云南师范大附中高考适应性月考三理科数学试卷(解析版) 题型:解答题

在直角坐标系中,已知圆的参数方程为为参数,以为极点,轴的非负半轴为极轴建立极坐标系.

(Ⅰ)求圆的极坐标方程;

(Ⅱ)已知直线,射线.射线与圆的交点为,与直线的交点为,求线段的长.

查看答案和解析>>

科目:高中数学 来源:2016届山西省高三上期中文科数学试卷(解析版) 题型:选择题

已知),且,则是( )

A.第一象限角 B.第二象限角 C.第三象限角 D.第四象限角

查看答案和解析>>

科目:高中数学 来源:2016届山西省高三上期中理科数学试卷(解析版) 题型:选择题

已知集合.若,则实数的取值范围是( )

A. B. C. D.

查看答案和解析>>

科目:高中数学 来源:2016届内蒙古赤峰二中高三上12月月考理科数学试卷(解析版) 题型:选择题

已知集合,则( )

A. B. C. D.

查看答案和解析>>

科目:高中数学 来源:2015-2016学年河北省邯郸市等校高二上学期期中文科数学试卷(解析版) 题型:选择题

已知双曲线的虚轴长是实轴长的2倍,则实数的值是( )

A. B. C. D.

查看答案和解析>>

同步练习册答案