精英家教网 > 高中数学 > 题目详情

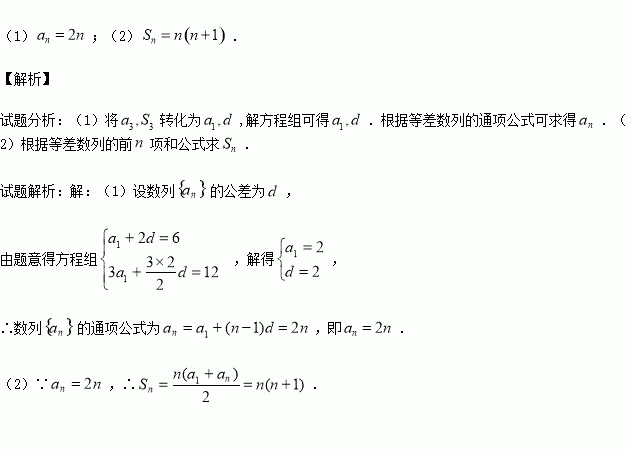
已知数列{}是等差数列,其前n项和为

(1)求数列{}的通项公式;

(2)求

练习册系列答案
相关习题

科目:高中数学 来源:2015-2016学年安徽师大附中高二上学期期中理科数学试卷(解析版) 题型:解答题

设椭圆C:的左、右焦点分别为F1,F2,上顶点为A,过点A与AF2垂直的直线交x轴负半轴于点Q,且

(1)求椭圆C的离心率;

(2)若过A、Q、F2三点的圆恰好与直线相切,求椭圆C的方程;

(3)在(2)的条件下,过右焦点F2作斜率为k的直线l与椭圆C交于M、N两点,在x轴上是否存在点P(m,0)使得以PM,PN为邻边的平行四边形是菱形,如果存在,求出m的取值范围,如果不存在,说明理由.

查看答案和解析>>

科目:高中数学 来源:2015-2016学年广东省清远市实验学校高二上学期期中数学试卷(解析版) 题型:选择题

中,若,则的面积为 ( )

A. B. C.1 D.

查看答案和解析>>

科目:高中数学 来源:2015-2016学年江苏省无锡市四校高二上学期期中考试数学试卷(解析版) 题型:填空题

过点且与直线垂直的直线的方程为

查看答案和解析>>

科目:高中数学 来源:2015-2016学年吉林省扶余市高一上学期期中考试数学试卷(解析版) 题型:解答题

(1)已知的值;

(2)已知,求的值.

查看答案和解析>>

科目:高中数学 来源:2015-2016学年吉林省扶余市高二上学期期中考试理科数学试卷(解析版) 题型:解答题

设数列满足

(1)求数列的通项公式;

(2)令,求数列的前n项和

查看答案和解析>>

科目:高中数学 来源:2015-2016学年湖南省高二上学期期中考试理科数学试卷(解析版) 题型:解答题

(本题12分)已知函数

(1)当时,解不等式

(2)比较的大小;

(3)解关于x的不等式

查看答案和解析>>

科目:高中数学 来源:2015-2016学年福建省高二上学期期中考试理科数学试卷(解析版) 题型:解答题

(本小题满分12分) 在数列中,为常数,

成公比不等于1的等比数列.

(1)求的值;

(2)设,求数列的前项和

查看答案和解析>>

科目:高中数学 来源:2015-2016学年江西省赣州市十三县高二上期中联考文科数学试卷(解析版) 题型:选择题

,则下列不等式成立的是( )

A. B.

C. D.

查看答案和解析>>

同步练习册答案