精英家教网 > 高中数学 > 题目详情

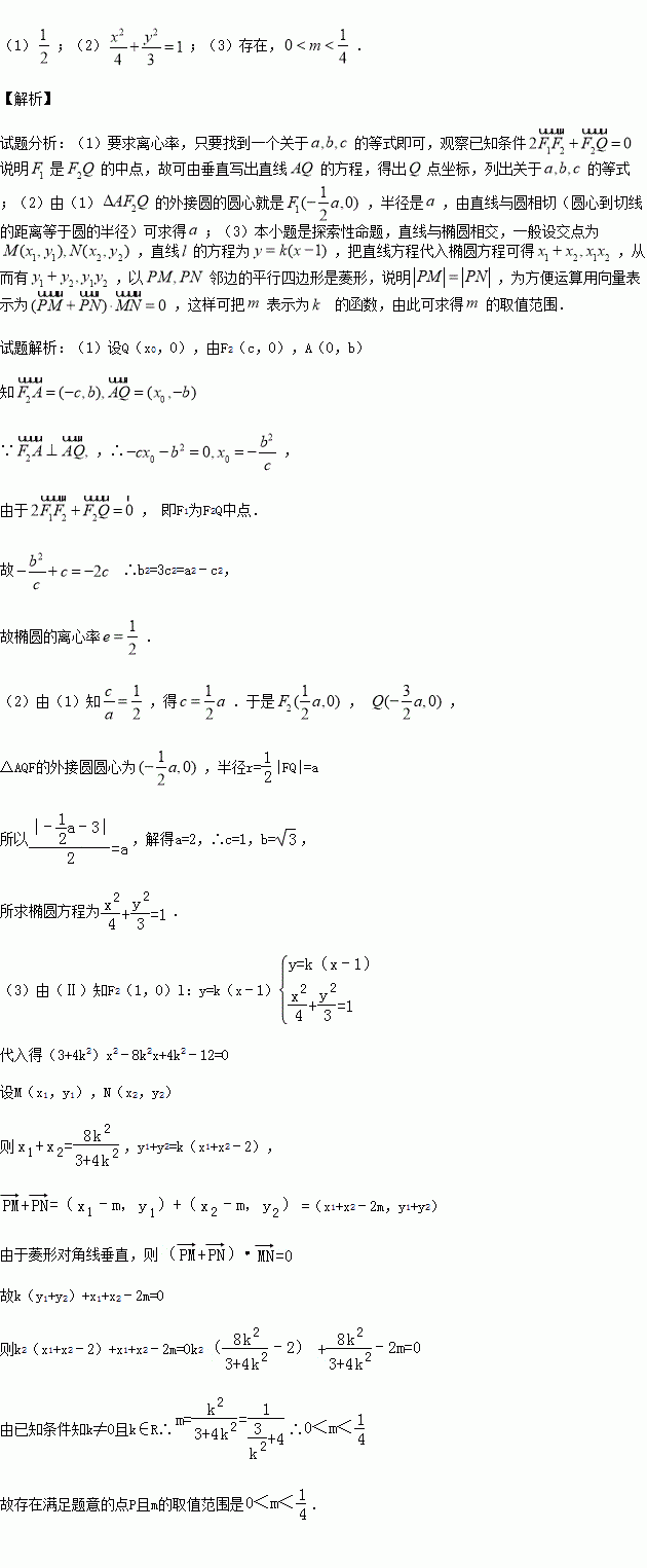
设椭圆C:的左、右焦点分别为F1,F2,上顶点为A,过点A与AF2垂直的直线交x轴负半轴于点Q,且

(1)求椭圆C的离心率;

(2)若过A、Q、F2三点的圆恰好与直线相切,求椭圆C的方程;

(3)在(2)的条件下,过右焦点F2作斜率为k的直线l与椭圆C交于M、N两点,在x轴上是否存在点P(m,0)使得以PM,PN为邻边的平行四边形是菱形,如果存在,求出m的取值范围,如果不存在,说明理由.

练习册系列答案
相关习题

科目:高中数学 来源:2015-2016学年江西省南昌市高一10月月考数学试卷(解析版) 题型:选择题

的定义域是( )

A.

B.

C.

D.

查看答案和解析>>

科目:高中数学 来源:2015-2016学年西藏日喀则一中高二10月月考文数学试卷(解析版) 题型:解答题

已知函数

(1)求曲线在点处的切线方程;

(2)直线为曲线的切线,且经过原点,求直线的方程及切点坐标.

查看答案和解析>>

科目:高中数学 来源:2015-2016学年贵州遵义航天高中高二上学期期中数学试卷(解析版) 题型:选择题

如图,如图,已知正三棱柱的各条棱都相等,M是侧棱的中点,则异面直线所成角的大小是 ( )

A. B. C. D.

查看答案和解析>>

科目:高中数学 来源:2015-2016学年安徽师大附中高二上学期期中文科数学试卷(解析版) 题型:解答题

在平面直角坐标系xOy中,抛物线C的顶点在原点,经过点A(2,2),其焦点F在x轴上.

(1)求抛物线C的标准方程;

(2)设直线l是抛物线的准线,直线AF与抛物线交于另一点B,求证:以AB为直径的圆与准线l相切.

查看答案和解析>>

科目:高中数学 来源:2015-2016学年安徽师大附中高二上学期期中理科数学试卷(解析版) 题型:选择题

已知直线l:(A,B不全为0),两点,若,且,则( )

A.直线l与直线P1P2不相交

B.直线l与线段P2 P1的延长线相交

C.直线l与线段P1 P2的延长线相交

D.直线l与线段P1P2相交

查看答案和解析>>

科目:高中数学 来源:2015-2016学年陕西省西安市高二上学期期中考试理科数学试卷(解析版) 题型:填空题

若正数满足,则的取值范围是

查看答案和解析>>

科目:高中数学 来源:2015-2016学年黑龙江省高二上学期期中数学试卷(解析版) 题型:填空题

已知不等式组,表示的平面区域为M,若直线与平面区域M有公共点,则k的取值集合是______________.

查看答案和解析>>

科目:高中数学 来源:2015-2016学年吉林省扶余市高二上学期期中考试文科数学试卷(解析版) 题型:解答题

已知数列{}是等差数列,其前n项和为

(1)求数列{}的通项公式;

(2)求

查看答案和解析>>

同步练习册答案