精英家教网 > 高中数学 > 题目详情

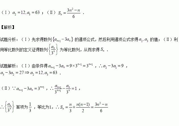
在数列中,,数列是首项为9,公比为3的等比数列.

(Ⅰ)求的值;

(Ⅱ)求数列的前n项和

练习册系列答案
相关习题

科目:高中数学 来源:2015-2016学年湖南师大附中高二上第二次段测文科数学卷(解析版) 题型:解答题

已知数列是递增的等比数列,满足,且的等差中项,数列满足,其前n项和为,且

(1)求数列的通项公式;

(2)数列的前n项和为,若不等式对一切恒成立,求实数的取值范围.

查看答案和解析>>

科目:高中数学 来源:2015-2016学年广东汕头金山中学高二上12月考理数学卷(解析版) 题型:选择题

双曲线C:的左、右顶点分别为,点P在C上且直线斜率的取值范围是[-4,-2],那么直线斜率的取值范围是 ( )

A. B. C. D.

查看答案和解析>>

科目:高中数学 来源:2016届浙江省等高三第一次五校联考理科数学试卷(解析版) 题型:选择题

已知全集,则( )

A.

B.

C.

D.

查看答案和解析>>

科目:高中数学 来源:2014-2015学年江西省高一下学期期中数学试卷(解析版) 题型:填空题

若对任意恒成立,则的取值范围是

查看答案和解析>>

科目:高中数学 来源:2016届广西河池高中高三上第五次月考理科数学试卷(解析版) 题型:解答题

在直角坐标系中,以为极点,轴正半轴为极轴建立极坐标系.圆,直线的极坐标方程分别为

(Ⅰ)求交点的极坐标;

(Ⅱ)设的圆心,交点连线的中点.已知直线的参数方程为为参数),求的值.

查看答案和解析>>

科目:高中数学 来源:2015-2016学年山西省临汾市高一12月月考数学试卷(解析版) 题型:填空题

是定义在实数集上的函数,且满足在区间上是减函数,并且,则实数的取值集合是_____________.

查看答案和解析>>

科目:高中数学 来源:2015-2016学年辽宁省高二12月月考理科数学卷(解析版) 题型:填空题

已知=2=3=4,…,若=7,(a、t

均为正实数),则类比以上等式,可推测a、t的值,a+t=________.

查看答案和解析>>

科目:高中数学 来源:2015-2016学年江西省高一上第三次考试数学试卷(解析版) 题型:选择题

的一个内角,若,则这个三角形的形状为 ( )

A.锐角三角形 B.钝角三角形

C.等腰直角三角形 D.等腰三角形

查看答案和解析>>

同步练习册答案