精英家教网 > 高中数学 > 题目详情

选修4-5:不等式选讲

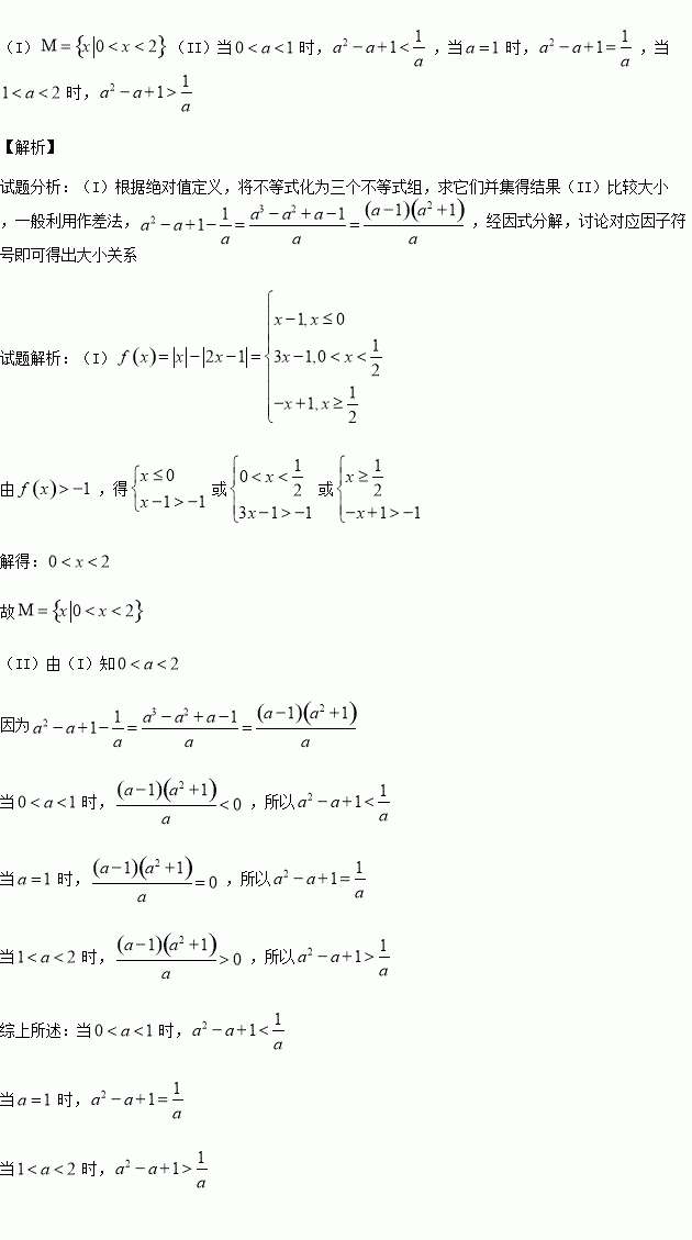
,记的解集为

(I)求集合

(II)已知,比较的大小.

练习册系列答案
相关习题

科目:高中数学 来源:2016届辽宁省锦州市高三下学期质量检测二理科数学试卷(解析版) 题型:解答题

选修4-1:几何证明选讲

如图, 圆周角的平分线与圆交于点,过点的切线与弦的延长线交于点, 于点.

(1)求证:

(2)若四点共圆, 且,求.

查看答案和解析>>

科目:高中数学 来源:2016届河南省洛阳市高三考前综合练习五文科数学试卷(解析版) 题型:选择题

双曲线与抛物线相交于两点,直线恰好过它们的公共焦点,则双曲线的离心率为( )

A. B. C. D.

查看答案和解析>>

科目:高中数学 来源:2016届河南省洛阳市高三考前综合练习五理科数学试卷(解析版) 题型:选择题

已知函数,若函数有且只有两个零点,则的取值范围为( )

A. B. C. D.

查看答案和解析>>

科目:高中数学 来源:2016届河南省洛阳市高三考前综合练习五理科数学试卷(解析版) 题型:选择题

将函数的图象沿轴向右平移个单位后,得到一个偶函数的图象,则的取值不可能是( )

A. B. C. D.

查看答案和解析>>

科目:高中数学 来源:2016届海南省高三考前模拟理科数学试卷(解析版) 题型:解答题

月青岛大排档宰客一只大虾卖元,被网友称为“天价大虾”,为了弄清楚大虾的实际价格与利润,记者调查了某虾类养殖户,在一个虾池中养殖一种虾,每季养殖成本为元,此虾的市场价格和虾池的产量均具有随机性,且互不影响,其具体情况如下表:

(I)设表示在这个虾池养殖季这种虾的利润,求的分布列和期望;

(II)若在这个虾池中连续季养殖这种虾,求这季中至少有季的利润不少于元的概率.

查看答案和解析>>

科目:高中数学 来源:2016届海南省高三考前模拟理科数学试卷(解析版) 题型:选择题

已知函数在定义域上表示的曲线过原点,且在处的切线斜率均为.有以下命题:

是奇函数;②若内递减,则的最大值为;③若的最大值为,最小值为,则;④若对恒成立,则的最大值为.其中正确命题的个数为( )

A.个 B.个 C.个 D.

查看答案和解析>>

科目:高中数学 来源:2016届海南师范大学附属中学高三临考模拟数学试卷(解析版) 题型:解答题

某市为了缓解交通压力,提倡低碳环保,鼓励市民乘坐公共交通系统出行.为了更好地保障市民出行,合理安排运力,有效利用公共交通资源合理调度,在某地铁站点进行试点调研市民对候车时间的等待时间(候车时间不能超过20分钟),以便合理调度减少候车时间,使市民更喜欢选择公共交通.为此在该地铁站的一些乘客中进行调查分析,得到如下统计表和各时间段人数频率分布直方图:

分组

等待时间(分钟)

人数

第一组

[0,5)

10

第二组

[5,10)

a

第三组

[10,15)

30

第四组

[15,20)

10

(Ⅰ)求出a的值;要在这些乘客中用分层抽样的方法抽取10人,在这10个人中随机抽取3人至少一人来自第二组的概率;

(Ⅱ)从这10人中随机抽取3人进行问卷调查,设这3个人共来自X个组,求X的分布列及数学期望.

查看答案和解析>>

科目:高中数学 来源:2016届福建省高三下学期周考六理科数学试卷(解析版) 题型:选择题

( )

A. B. C. D.

查看答案和解析>>

同步练习册答案