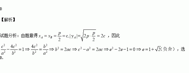
精英家教网 > 高中数学 > 题目详情

双曲线与抛物线相交于两点,直线恰好过它们的公共焦点,则双曲线的离心率为( )

A. B. C. D.

练习册系列答案
相关习题

科目:高中数学 来源:2016届湖南师大附中高三下学期高考模拟三文科数学试卷(解析版) 题型:选择题

的值等于( )

A. B. C. D.1

查看答案和解析>>

科目:高中数学 来源:2016届辽宁省锦州市高三下学期质量检测二理科数学试卷(解析版) 题型:选择题

已知顶点为坐标原点的抛物线与双曲线都过点,且它们有共同的一个焦点,则双曲线的离心率是( )

A. B. C. D.

查看答案和解析>>

科目:高中数学 来源:2016届河南省洛阳市高三考前综合练习五文科数学试卷(解析版) 题型:解答题

中,角的对边分别为,已知

(1)求的值;

(2)若,求的面积.

查看答案和解析>>

科目:高中数学 来源:2016届河南省洛阳市高三考前综合练习五文科数学试卷(解析版) 题型:选择题

已知函数是一个求余函数,其格式为,其结果为除以的余数,例如.右面是一个算法的程序框图,当输入的值为25时,则输出的结果为( )

A.4 B.5 C.6 D.7

查看答案和解析>>

科目:高中数学 来源:2016届河南省洛阳市高三考前综合练习五理科数学试卷(解析版) 题型:解答题

选修4-5:不等式选讲

已知函数

(1)若,求不等式的解集;

(2)若方程有三个不同的解,求的取值范围.

查看答案和解析>>

科目:高中数学 来源:2016届河南省洛阳市高三考前综合练习五理科数学试卷(解析版) 题型:解答题

中,的对边分别为,且

(1)证明:

(2)若,求的面积.

查看答案和解析>>

科目:高中数学 来源:2016届海南省高三考前模拟理科数学试卷(解析版) 题型:解答题

选修4-5:不等式选讲

,记的解集为

(I)求集合

(II)已知,比较的大小.

查看答案和解析>>

科目:高中数学 来源:2016届海南师范大学附属中学高三临考模拟数学试卷(解析版) 题型:选择题

过点且和直线相切的动圆圆心的轨迹方程为( )

A. B. C. D.

查看答案和解析>>

同步练习册答案