精英家教网 > 高中数学 > 题目详情

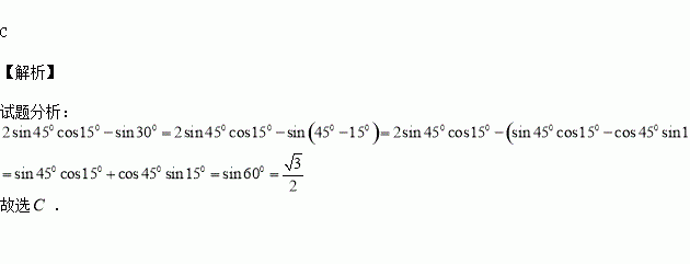
的值等于( )

A. B. C. D.1

练习册系列答案
相关习题

科目:高中数学 来源:2015-2016学年湖北省襄阳市四校高一下学期期中联考数学试卷(解析版) 题型:选择题

,则( )

A. B. C. D.

查看答案和解析>>

科目:高中数学 来源:2015-2016学年广东省高一下第一次月考文科数学试卷(解析版) 题型:选择题

下图给出的是计算的值的一个框图,其中菱形判断框内应填入的条件是( )

A. B. C. D.

查看答案和解析>>

科目:高中数学 来源:2016届湖南师大附中高三下学期高考模拟三文科数学试卷(解析版) 题型:填空题

在数列中,若存在一个确定的正整数,对任意满足,则称是周期数列,叫做它的周期.已知数列满足,当数列的周期为3时,则的前2016项的和___________.

查看答案和解析>>

科目:高中数学 来源:2016届湖南师大附中高三下学期高考模拟三文科数学试卷(解析版) 题型:选择题

如图,位于处的海面观测站获悉,在其正东方向相距40海里的处有一艘渔船遇险,并在原地等待营救.在处南偏西30°且相距20海里的处有一艘救援船,该船接到观测站通告后立即前往处求助,则( )

A. B. C. D.

查看答案和解析>>

科目:高中数学 来源:2016届辽宁省锦州市高三下学期质量检测二文科数学试卷(解析版) 题型:解答题

选修4-1:几何证明选讲

如图, 圆周角的平分线与圆交于点,过点的切线与弦的延长线交于点, 于点.

(1)求证:

(2)若四点共圆,且,求.

查看答案和解析>>

科目:高中数学 来源:2016届辽宁省锦州市高三下学期质量检测二文科数学试卷(解析版) 题型:填空题

已知向量的夹角为,且,若,且,则实数

查看答案和解析>>

科目:高中数学 来源:2016届辽宁省锦州市高三下学期质量检测二理科数学试卷(解析版) 题型:解答题

选修4-1:几何证明选讲

如图, 圆周角的平分线与圆交于点,过点的切线与弦的延长线交于点, 于点.

(1)求证:

(2)若四点共圆, 且,求.

查看答案和解析>>

科目:高中数学 来源:2016届河南省洛阳市高三考前综合练习五文科数学试卷(解析版) 题型:选择题

双曲线与抛物线相交于两点,直线恰好过它们的公共焦点,则双曲线的离心率为( )

A. B. C. D.

查看答案和解析>>

同步练习册答案