精英家教网 > 高中数学 > 题目详情
已知圆C:(x+3)2+y2=100和点B(3,0),P是圆上一点,线段BP的垂直平分线交CP于没M点,则M点的轨迹方程是( )
A.y2=6
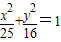
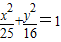
B.
C.
D.x2+y2=25
【答案】分析:根据线段中垂线的性质可得,|MB|=|MP|,又|MP|+|MC|=半径10,故有|MC|+|MB|=5>|AC|,根据椭圆的定义判断轨迹椭圆,求出a、b值,即得椭圆的标准方程.
解答:解:由圆的方程可知,圆心C(-1,0),半径等于10,设点M的坐标为(x,y ),∵BP的垂直平分线交CP于M,
∴|MB|=|MQ|. 又|MQ|+|MC|=半径10,∴|MC|+|MB|=10>|BC|.依据椭圆的定义可得,
点M的轨迹是以 B、C 为焦点的椭圆,且 2a=10,c=3,∴b=4,
故椭圆方程为
故选B.
点评:本题考查椭圆的定义、椭圆的标准方程,得出|MC|+|MB|=10>|BC|,是解题的关键和难点.
练习册系列答案
相关习题

科目:高中数学 来源: 题型:

已知圆C:(x-3)2+(y-4)2=4,直线l1过定点A(1,0).
(Ⅰ)若l1与圆相切,求l1的方程;
(Ⅱ)若l1与圆相交于P,Q两点,线段PQ的中点为M,又l1与l2:x+2y+2=0的交点为N,求证:AM•AN为定值.

查看答案和解析>>

科目:高中数学 来源: 题型:

精英家教网已知圆C:(x-3)2+(y-4)2=4,
(Ⅰ)若直线l1过定点A(1,0),且与圆C相切,求l1的方程;
(Ⅱ)若圆D的半径为3,圆心在直线l2:x+y-2=0上,且与圆C外切,求圆D的方程.

查看答案和解析>>

科目:高中数学 来源: 题型:

已知圆C:(x-3)2+(y-4)2=4,
(1)直线l1过定点A (1,0).若l1与圆C相切,求l1的方程;
(2)直线l2过B(2,3)与圆C相交于P,Q两点,求线段PQ的中点M的轨迹方程.

查看答案和解析>>

科目:高中数学 来源: 题型:

已知圆C:(x-3)2+(y-4)2=4,
(Ⅰ)若a=y-x,求a的最大值和最小值;
(Ⅱ)若圆D的半径为3,圆心在直线L:x+y-2=0上,且与圆C外切,求圆D的方程.

查看答案和解析>>

科目:高中数学 来源: 题型:

已知圆C:(x+3)2+(y-4)2=4.
(1)若直线l1过点A(-1,0),且与圆C相切,求直线l1的方程;
(2)若圆D的半径为4,圆心D在直线l2:2x+y-2=0上,且与圆C内切,求圆D的方程.

查看答案和解析>>

同步练习册答案