精英家教网 > 高中数学 > 题目详情

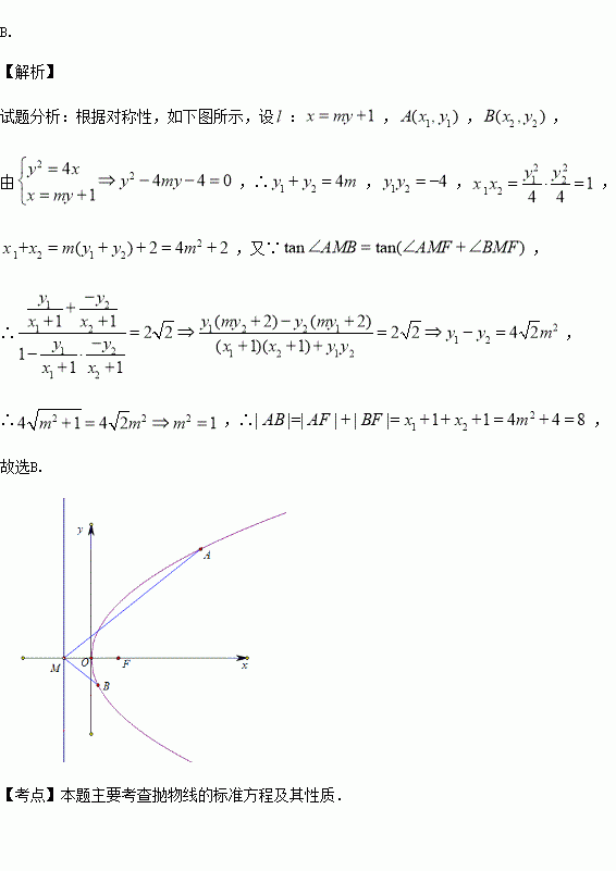
设抛物线的焦点为F,过F的直线与抛物线交于A,B两点,M为抛物线C的准线与轴的交点,若,则( )

A. 4 B. 8 C. D. 10

练习册系列答案
相关习题

科目:高中数学 来源:2016届河南省郑州市高三第二次模拟考试文科数学试卷(解析版) 题型:选择题

已知定义在R上的奇函数y=f(x)的图像关于直线x=1对称,当0<x≤1时,f(x)=,则方程f(x)-1=0在(0,6)内的零点之和为( )

A.8 B.10 C.12 D.16

查看答案和解析>>

科目:高中数学 来源:2016届河南省南阳、周口、驻马店等六市高三第一次联考理科数学试卷(解析版) 题型:解答题

如图,在一条海防警戒线上的点处各有一个水声监测点,两点到的距离分别为20千米和50千米,某时刻,收到发自静止目标的一个声波信号,8秒后同时接收到该 声波信号,已知声波在水中的传播速度是1.5千米/秒.

(1)设的距离为千米,用表示的距离,并求的值;

(2)求到海防警戒线的距离.

查看答案和解析>>

科目:高中数学 来源:2016届河北省石家庄市高三复习教学质量检测二文科数学试卷(解析版) 题型:解答题

【选修4-5,不等式选讲】

(Ⅰ)若的解集为,求实数的值;

(Ⅱ)当时,若存在,使得不等式成立,求实数m的取值范围.

查看答案和解析>>

科目:高中数学 来源:2016届河北省石家庄市高三复习教学质量检测二文科数学试卷(解析版) 题型:解答题

中,角A,B,C的对边分别为,且

(Ⅰ)求角B的大小;

(Ⅱ)若,求的值.

查看答案和解析>>

科目:高中数学 来源:2016届河北省石家庄市高三复习教学质量检测二文科数学试卷(解析版) 题型:选择题

已知满足约束条件,若目标函数的最大值为1,则m的值是( )

A. B. 1 C. 2 D. 5

查看答案和解析>>

科目:高中数学 来源:2016届河北省石家庄市高三复习教学质量检测二理科数学试卷(解析版) 题型:解答题

【选修4-5,不等式选讲】

(Ⅰ)若的解集为,求实数的值;

(Ⅱ)当时,若存在,使得不等式成立,求实数m的取值范围.

查看答案和解析>>

科目:高中数学 来源:2016届河北省石家庄市高三复习教学质量检测二理科数学试卷(解析版) 题型:选择题

已知满足约束条件,若2≤m≤4,则目标函数的最大的变化范围是( )

A. [1,3] B. [4,6] C. [4,9] D. [5,9]

查看答案和解析>>

科目:高中数学 来源:2016年甘肃省兰州市高三实战考试理科数学试卷(解析版) 题型:填空题

已知变量满足:,则的最大值为 .

查看答案和解析>>

同步练习册答案