精英家教网 > 高中数学 > 题目详情

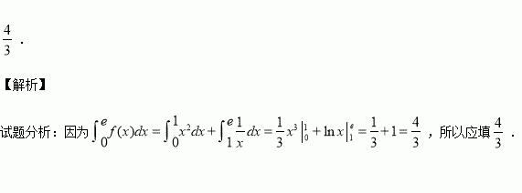
为自然对数的底数,则的值为

练习册系列答案
相关习题

科目:高中数学 来源:2015-2016学年甘肃省嘉峪关市高二上学期期中考试理科数学试卷(解析版) 题型:选择题

设a>0,b>0,若是3a与3b的等比中项,则的最小值是( )

A.8 B.4 C.1 D.

查看答案和解析>>

科目:高中数学 来源:2015-2016学年广东省佛山市高一上学期期中数学试卷(解析版) 题型:选择题

已知,则f(-1)+f(4)的值为( )

A.-7 B.3 C.-8 D.4

查看答案和解析>>

科目:高中数学 来源:2015-2016学年甘肃省嘉峪关市高二上学期期中考试理科数学试卷(解析版) 题型:解答题

(本小题满分12分)已知等比数列中,

(1)求数列的通项公式;

(2)若分别为等差数列的第3项和第5项,试求数列的通项公式及前项和

查看答案和解析>>

科目:高中数学 来源:2016届浙江宁波效实中学高三上期中考试文科数学试卷(解析版) 题型:填空题

数列的前项和为,则 ;数列的前10项和

查看答案和解析>>

科目:高中数学 来源:2016届河南省原名校高三上学期第一次联考文科数学试卷(解析版) 题型:选择题

已知全集,集合,则( )

A. B.

C. D.

查看答案和解析>>

科目:高中数学 来源:2016届河南省原名校高三上学期第一次联考理科数学试卷(解析版) 题型:选择题

为了纪念抗日战争胜利周年,从甲、乙、丙等5名候选民警中选2名作为阅兵安保人员,为9月3号的阅兵提供安保服务,则甲、乙、丙中有2个被选中的概率为( )

A. B. C. D.

查看答案和解析>>

科目:高中数学 来源:2015-2016学年四川绵阳南山中学高二上期中文科数学试卷(解析版) 题型:选择题

已知直线的方程为,则直线的倾斜角为

A. B.

C. D.

查看答案和解析>>

科目:高中数学 来源:2015-2016学年辽宁省大连市高二10月月考数学试卷(解析版) 题型:解答题

现有5道题,其中3道甲类题,2道乙类题,张同学从中任取2道题解答.试求:

(1)所取的2道题都是甲类题的概率;

(2)所取的2道题不是同一类题的概率.

查看答案和解析>>

同步练习册答案