精英家教网 > 高中数学 > 题目详情

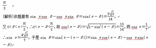
定义运算adbc.若cos α,0<β<α<,则β等于____.


××. 故β


练习册系列答案
相关习题

科目:高中数学 来源: 题型:


函数f(x)=|log3x|在区间[ab]上的值域为[0,1],则ba的最小值为________.

查看答案和解析>>

科目:高中数学 来源: 题型:


 函数上最大值等于_______

查看答案和解析>>

科目:高中数学 来源: 题型:


函数y=lg(sin x)+ 的定义域为________.

查看答案和解析>>

科目:高中数学 来源: 题型:


设偶函数f(x)=Asin(ωxφ)(A>0,ω>0,0<φ<π)的部分图像如图所示,△KLM为等腰直角三角形,∠KML=90°,KL=1,则f 的值为______.

查看答案和解析>>

科目:高中数学 来源: 题型:


 在△ABC中,内角ABC所对的边分别为abc.已知4sin2 +4sin Asin B=2+

(1)求角C的大小;

(2)已知b=4,△ABC的面积为6,求边长c的值.

查看答案和解析>>

科目:高中数学 来源: 题型:


 计算:(tan10°-)·sin40°=________.

查看答案和解析>>

科目:高中数学 来源: 题型:


是夹角为的单位向量,且        

查看答案和解析>>

科目:高中数学 来源: 题型:


若等比数列的各项均为正数,且,则        .

查看答案和解析>>

同步练习册答案