精英家教网 > 高中数学 > 题目详情

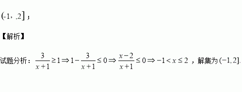
不等式的解集是

练习册系列答案
相关习题

科目:高中数学 来源:2015-2016学年浙江省温州市十校联合体高一上学期期中考试数学试卷(解析版) 题型:填空题

方程有两个不相等的实数根,则的取值范围是

查看答案和解析>>

科目:高中数学 来源:2016上海复旦大学附中届高三上期中文科数学试卷(解析版) 题型:选择题

若对任意,都有,那么上………………( )

A、一定单调递增 B、一定没有单调减区间

C、可能没有单调增区间 D、一定没有单调增区间

查看答案和解析>>

科目:高中数学 来源:2016届河北省高三上学期四调理科数学试卷(解析版) 题型:填空题

定义函数,若存在常数,对于任意,存在唯一的,使得,则称函数上的“均值”为,已知,则函数上的“均值”为

查看答案和解析>>

科目:高中数学 来源:2015-2016学年吉林省高二11月月考文科数学卷(解析版) 题型:选择题

椭圆的焦点在轴上,长轴长是短轴长的2倍,则的值为( )

A.4 B.2 C. D.

查看答案和解析>>

科目:高中数学 来源:2015-2016学年湖北武汉华中师大一附高一上期中数学试卷(解析版) 题型:选择题

已知函数,则使方程

成立的整数的个数是( )

A.3个 B.4个 C.5个 D.无穷多个

查看答案和解析>>

科目:高中数学 来源:2015-2016学年湖北武汉华中师大一附高二上期中理数学卷(解析版) 题型:选择题

时,曲线与曲线有相同的( )

A.焦点 B.准线 C.焦距 D.离心率

查看答案和解析>>

科目:高中数学 来源:2016届湖南省株洲市高三上学期期中文科数学试卷(解析版) 题型:解答题

将圆x2+y2=1上每一点的横坐标保持不变,纵坐标变为原来的2倍,得曲线C.

(1)写出C的参数方程;

(2)设直线l:2x+y-2=0与C的交点为P1,P2,以坐标原点为极点,x轴正半轴为极轴建立极坐标系,求过线段P1P2的中点且与l垂直的直线的极坐标方程.

查看答案和解析>>

科目:高中数学 来源:2015-2016学年湖南师大附中高二上学期期中文科数学试卷(解析版) 题型:解答题

已知分别为内角A,B,C的对边,,且

(1)求A;

(2)若,求的面积.

查看答案和解析>>

同步练习册答案