精英家教网 > 高中数学 > 题目详情

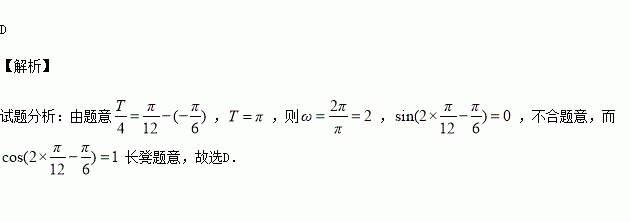
下列函数中,图像的一部分如下图所示的是( )

A. B.

C. D.

练习册系列答案
相关习题

科目:高中数学 来源:2015-2016学年福建省高一下周练数学试卷(解析版) 题型:选择题

从一堆苹果中任取了个,并得到它们的质量(单位:克)数据分布表如下:

则这堆苹果中,质量不小于克的苹果数约占苹果总数的( )

A. B. C. D.

查看答案和解析>>

科目:高中数学 来源:2015-2016学年黑龙江大庆一中高二下第二次段考理数学卷(解析版) 题型:填空题

已知在区间内任取两个实数,且,不等式恒成立,则实数的取值范围为__________________.

查看答案和解析>>

科目:高中数学 来源:2015-2016学年广东东莞东华高中高一4月月考数学试卷(解析版) 题型:解答题

已知.

(1)若,求的值;

(2)设,若,求,的值.

查看答案和解析>>

科目:高中数学 来源:2015-2016学年广东东莞东华高中高一4月月考数学试卷(解析版) 题型:填空题

已知角的终边过点,则

查看答案和解析>>

科目:高中数学 来源:2015-2016学年广东东莞东华高中高一4月月考数学试卷(解析版) 题型:选择题

已知向量,则 ( )

A. B. C. D.

查看答案和解析>>

科目:高中数学 来源:2015-2016学年广东东莞东华高中高二4月月考理科数学卷(解析版) 题型:解答题

已知各项不为零的数列的前项和为,且满足

(1)求数列的通项公式;

(2)设数列满足,求数列的前项和

查看答案和解析>>

科目:高中数学 来源:2015-2016学年广东东莞东华高中高二4月月考理科数学卷(解析版) 题型:选择题

已知,则( )

A. B. C. D.

查看答案和解析>>

科目:高中数学 来源:2015-2016学年黑龙江省高一上学期期末考试数学试卷(解析版) 题型:选择题

函数的零点位于区间( )

A. B. C. D.

查看答案和解析>>

同步练习册答案