精英家教网 > 高中数学 > 题目详情

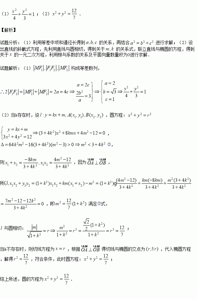
已知椭圆为椭圆的两个焦点,M为椭圆上任意一点,且构成等差数列,过椭圆焦点垂直于长轴的弦长为3,

(1)求椭圆E的方程;

(2)若存在以原点为圆心的圆,使该圆的任意一条切线与椭圆E恒有两个交点A,B,且,求出该 圆的方程.

练习册系列答案
相关习题

科目:高中数学 来源:2014-2015学年上海市高一下学期期末考试数学试卷(解析版) 题型:填空题

已知数列满足,若数列单调递减,数列单调递增,则数列的通项公式为

查看答案和解析>>

科目:高中数学 来源:2015-2016学年湖北省宜昌市高一上学期期中考试数学试卷(解析版) 题型:填空题

设a,b∈R,集合{a,1}={0,a+b},则b-a=________.

查看答案和解析>>

科目:高中数学 来源:2015-2016学年福建厦门双十中学高二上期中文科数学试卷(解析版) 题型:填空题

已知分别是的三个内角所对的边,若,且,则的形状是_

查看答案和解析>>

科目:高中数学 来源:2015-2016学年福建三明一中高二上第二次月考文数学卷(解析版) 题型:解答题

已知函数的图象过点,且在点处的切线方程为

(1)求的值;

(2)求函数的解析式.

查看答案和解析>>

科目:高中数学 来源:2016届湖南省常德市高三上第五次月考文科数学试卷(解析版) 题型:选择题

已知命题 ,命题,则( )

A.为假 B.为真

C.为真 D.为假

查看答案和解析>>

科目:高中数学 来源:2016届河南省高三上第八次大考理科数学试卷(解析版) 题型:解答题

已知

(1)求的单调区间;

(2)令,则时有两个不同的根,求的取值范围;

(3)存在,使成立,求的取值范围.

查看答案和解析>>

科目:高中数学 来源:2016届湖南省长沙市高三上学期月考五文科数学试卷(解析版) 题型:选择题

是集合A到对应的集合B的映射,若,则等于()

A. B. C. D.

查看答案和解析>>

科目:高中数学 来源:2015-2016学年江苏省南通市高二上第一阶段考试数学试卷(解析版) 题型:填空题

过点A(4,1)的圆C与直线x-y-1=0相切于点B(2,1),则圆C的方程为

查看答案和解析>>

同步练习册答案