精英家教网 > 高中数学 > 题目详情

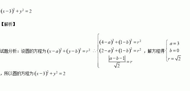
过点A(4,1)的圆C与直线x-y-1=0相切于点B(2,1),则圆C的方程为

练习册系列答案
相关习题

科目:高中数学 来源:2016届湖南省常德市高三上第五次月考文科数学试卷(解析版) 题型:解答题

已知椭圆为椭圆的两个焦点,M为椭圆上任意一点,且构成等差数列,过椭圆焦点垂直于长轴的弦长为3,

(1)求椭圆E的方程;

(2)若存在以原点为圆心的圆,使该圆的任意一条切线与椭圆E恒有两个交点A,B,且,求出该 圆的方程.

查看答案和解析>>

科目:高中数学 来源:2015-2016学年四川省雅安市高二11月月考文科数学试卷(解析版) 题型:解答题

如图,正方体中,E为AB中点,F为正方形BCC1B1的中心.

(1)求直线EF与平面ABCD所成角的正切值;

(2)求异面直线A1C与EF所成角的余弦值.

查看答案和解析>>

科目:高中数学 来源:2015-2016学年浙江省金兰教育合作组织高一上学期期中联考数学试卷(解析版) 题型:解答题

有甲、乙两种商品,经营销售这两种商品所能获得的利润依次是(万元)和(万元),它们与投入资金(万元)的关系有经验公式:.今有万元资金投入经营甲、乙两种商品,为获得最大利润,对甲、乙两种商品的资金投入分别应为多少?能获得最大利润是多少?

查看答案和解析>>

科目:高中数学 来源:2015-2016学年江苏省南通市高二上学期期中考试数学试卷(解析版) 题型:填空题

设实数x、y满足则z=|x+y+4|的取值范围为

查看答案和解析>>

科目:高中数学 来源:2015-2016学年江苏省南通市高一上第一阶段考试数学试卷(解析版) 题型:填空题

若集合,且,则实数的值为__ ___.

查看答案和解析>>

科目:高中数学 来源:2015-2016学年山东省淄博市高一上学期期中考试数学试卷(解析版) 题型:选择题

已知函数f(x)=7+ax-1的图象恒过点P,则P点的坐标是( )

A.(1,8) B.(1,7) C.(0,8) D.(8,0)

查看答案和解析>>

科目:高中数学 来源:2015-2016学年河南省高二12月考理科数学试卷(解析版) 题型:选择题

若直线mx+ny+2=0(m>0,n>0)截得圆的弦长为2,则 的最小值为( )

A.4 B.12 C.16 D.6

查看答案和解析>>

科目:高中数学 来源:2016届上海市七校高三上12月联考理科数学试卷(解析版) 题型:填空题

(2015秋•上海月考)无穷等比数列{an}的前n项和为Sn,若S3=6,S6=3,则=

查看答案和解析>>

同步练习册答案