精英家教网 > 高中数学 > 题目详情

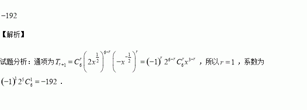
二项式展开式中含项的系数是________.

练习册系列答案
相关习题

科目:高中数学 来源:2016届广东省深圳市高三第二次调研考试数学(理)试卷(解析版) 题型:选择题

如图,网格纸上小正方形的边长为1,粗线画出的是某几何体的三视图,则它的体积为( )

A. 48 B. 16 C. 32 D.

查看答案和解析>>

科目:高中数学 来源:2016届河南省高三下第二次联考文科数学卷(解析版) 题型:解答题

某市为增强市民的环境保护意识,面向全市征召义务宣传志愿者,现从符合条件的志愿者中随机抽取100名后按年龄分组:第1组,第2组,第3组,第4组,第5组,得到的频率分布直方图如图所示.

(1)若从第3,4,5组中用分层抽样的方法抽取6名志愿者参加广场的宣传活动,则应从第3,4,5组

各抽取多少名志愿者?

(2)在(1)的条件下,该市决定在第3,4组的志愿者中随机抽取2名志愿者介绍宣传经验,求第4组

至少有一名志愿者被抽中的概率.

查看答案和解析>>

科目:高中数学 来源:2016届河南省高三下第二次联考文科数学卷(解析版) 题型:选择题

已知集合,则( )

A. B. C. D.

查看答案和解析>>

科目:高中数学 来源:2016届河南省高三下第二次联考理科数学卷(解析版) 题型:解答题

某市于今年1月1日起实施小汽车限购政策,根据规定,每年发放10万个小汽车购买名额,其中电动小汽车占20%,通过摇号方式发放,其余名额通过摇号和竞价两种方式各发放一半,政策推出后,某网站针对不同年龄段的申请意向进行了调查,结果如下表所示.

申请意向年龄

摇号

竞价(人数)

合计

电动小汽车(人数)

非电动小汽车(人数)

30岁以下(含30岁)

50

100

50

200

30至50岁(含50岁)

50

150

300

500

50岁以上

100

150

50

300

合计

200

400

400

1000

(1)采取分层抽样的方式从30至50岁的人中抽取10人,求其中各种意向人数;

(2)在(1)中选出的10个人中随机抽取4人,求其中恰有2人有竞价申请意向的概率;

(3)用样本估计总体,在全体市民中任意选取4人,其中摇号申请电动小汽车意向的人数记为,求

的分布列和数学期望.

查看答案和解析>>

科目:高中数学 来源:2016届河南省高三下第二次联考理科数学卷(解析版) 题型:选择题

某几何体的三视图如图所示,则该几何体的体积为( )

A. B. C. D.

查看答案和解析>>

科目:高中数学 来源:2016届河南省高三下第二次联考理科数学卷(解析版) 题型:选择题

已知为虚数单位,,若为纯虚数,则复数的模等于( )

A. B. C. D.

查看答案和解析>>

科目:高中数学 来源:2016届河南省洛阳市高三毕业班三练数学(文)试卷(解析版) 题型:

执行如图所示框图,输入时,输出的值为( )

A.2 B.17 C.34 D.以上答案都不正确

查看答案和解析>>

科目:高中数学 来源:2016届安徽省安庆市高三第三次模拟考试数学(文)试卷(解析版) 题型:填空题

已知满足约束条件,则的范围为______.

查看答案和解析>>

同步练习册答案