精英家教网 > 高中数学 > 题目详情

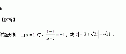
已知为虚数单位,,若为纯虚数,则复数的模等于( )

A. B. C. D.

练习册系列答案
相关习题

科目:高中数学 来源:2016届湖南省高考冲刺卷(理)(三)数学卷(解析版) 题型:解答题

选修4-4:坐标系与参数方程

已知直线的参数方程为为参数), 曲线的极坐标方程为,直线与曲线交于两点, 与轴交于点.

(1)求曲线的直角坐标方程;

(2)求的值.

查看答案和解析>>

科目:高中数学 来源:2016届河南省高三下第二次联考文科数学卷(解析版) 题型:选择题

执行如图所示的程序框图,则输出的结果为( )

A.8 B.9 C.10 D.11

查看答案和解析>>

科目:高中数学 来源:2016届河南省高三下第二次联考理科数学卷(解析版) 题型:填空题

二项式展开式中含项的系数是________.

查看答案和解析>>

科目:高中数学 来源:2016届河南省高三下第二次联考理科数学卷(解析版) 题型:选择题

下列命题正确的是( )

A.命题“,均有”的否定是:“,使得”;

B.“命题为真命题”是“命题为真命题”的充分不必要条件;

C.,使是幂函数,且函数上单调递增;

D.若数据的方差为1,则的方差为2.

查看答案和解析>>

科目:高中数学 来源:2016届河南省洛阳市高三毕业班三练数学(文)试卷(解析版) 题型:

设椭圆的左、右焦点分别为,过点作垂直于的直线交椭圆于两点,若椭圆离心率为的面积为.

(1)求椭圆的标准方程;

(2)动直线与椭圆交于两点,且,是否存在圆使得恰好是该圆的切线,若存在,求出;若不存在,说明理由.

查看答案和解析>>

科目:高中数学 来源:2016届河南省洛阳市高三毕业班三练数学(文)试卷(解析版) 题型:

若函数,则 .

查看答案和解析>>

科目:高中数学 来源:2016届河南省洛阳市高三毕业班三练数学(理)试卷(解析版) 题型:

已知,动点满足.

(1)求的值,并写出的轨迹曲线的方程;

(2)动直线与曲线交于两点,且,是否存在圆使得恰好是该圆的切线,若存在,求出;若不存在,说明理由.

查看答案和解析>>

科目:高中数学 来源:2016届安徽省安庆市高三第三次模拟考试数学(文)试卷(解析版) 题型:选择题

函数的定义域是( )

A. B. C. D.

查看答案和解析>>

同步练习册答案