精英家教网 > 高中数学 > 题目详情

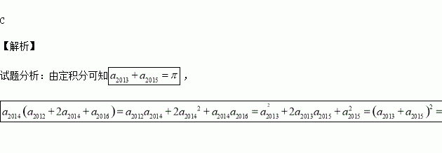
已知数列为等比数列,且,则的值为 ( )

A. B. C. D.

练习册系列答案
相关习题

科目:高中数学 来源:2015-2016学年上海市高一下学期第一次月考数学试卷(解析版) 题型:填空题

在△ABC中,A,B,C分别为a,b,c三条边的对角,如果b=2a,B=A+60o,那么∠A=

查看答案和解析>>

科目:高中数学 来源:2015-2016学年江西省赣州市十三县高二下学期期中文科数学试卷(解析版) 题型:填空题

已知复数满足 ,则的最大值是________

查看答案和解析>>

科目:高中数学 来源:2015-2016学年江西省赣州市十三县高二下学期期中理科数学试卷(解析版) 题型:解答题

如图,为矩形,为梯形,平面平面.

(Ⅰ)若中点,求证:∥平面

(Ⅱ)求平面所成锐二面角的大小.

查看答案和解析>>

科目:高中数学 来源:2015-2016学年江西省赣州市十三县高二下学期期中理科数学试卷(解析版) 题型:选择题

已知函数,若在区间上,恒成立,则的取值范围是( )

A. B. C. D.

查看答案和解析>>

科目:高中数学 来源:2015-2016学年江西省赣州市十三县高二下学期期中理科数学试卷(解析版) 题型:选择题

用反证法证明命题:“若整系数一元二次方程ax2+bx+c=0 (a≠0)有有理数根,那么a、b、c中至少有一个是偶数”时,下列假设中正确的是( )

A.假设a、b、c都是偶数

B.假设a、b、c都不是偶数

C.假设a、b、c至多有一个偶数

D.假设a、b、c至多有两个偶数

查看答案和解析>>

科目:高中数学 来源:2015-2016学年四川省雅安市高一下学期期中文科数学试卷(解析版) 题型:解答题

已知等比数列

(1)求通项

(2)若,数列的前项的和为,且,求的值.

查看答案和解析>>

科目:高中数学 来源:2015-2016学年四川省雅安市高一下学期期中理科数学试卷(解析版) 题型:解答题

设数列的前项n和为,若对于任意的正整数n都有.

(1)设,求证:数列是等比数列,

(2)求出的通项公式。

(3)求数列的前n项和Tn.

查看答案和解析>>

科目:高中数学 来源:2015-2016学年贵州遵义一中高一下第二次联考数学试卷(解析版) 题型:选择题

已知函数,则( )

A.0 B. C. D.9

查看答案和解析>>

同步练习册答案