精英家教网 > 高中数学 > 题目详情

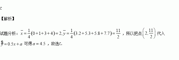
已知的取值如下表所示,若线性相关,且,则( )

A. B. C. D.

练习册系列答案
相关习题

科目:高中数学 来源:2015-2016学年黑龙江大庆市高一下期中文数学卷(解析版) 题型:选择题

若等比数列的前n项和为,且,则数列的公比是( )

A. B. C. D.

查看答案和解析>>

科目:高中数学 来源:2016届海南中学高三考前高考模拟十一文科数学试卷(解析版) 题型:选择题

如图所示,已知椭圆的左、右焦点分别为,点的焦点不重合,分别延长,使得是椭圆上一点,延长,若,则( )

A. 10 B.5 C. 6 D. 3

查看答案和解析>>

科目:高中数学 来源:2015-2016学年江西省高二下期中文科数学试卷(解析版) 题型:解答题

已知函数.

(1)求的值;

(2)求函数上的最大值和最小值.

查看答案和解析>>

科目:高中数学 来源:2015-2016学年江西省高二下期中文科数学试卷(解析版) 题型:选择题

设函数上可导,其导函数为,且函数处取得极小值,则函数的图象可能是( )

查看答案和解析>>

科目:高中数学 来源:2015-2016学年福建省高二下培优补差理数学试卷(解析版) 题型:解答题

在对人们的休闲方式的一次调查中,共调查了人,其中女性人,男性人,女性中有人主要的休闲方式是看电视,另外人主要的休闲方式是运动;男性中有人主要的休闲方式是看电视,另外人主要的休闲方式是运动.

(1)根据以上数据建立一个的列联表;

(2)能够以多大的把握认为性别与休闲方式有关系?

查看答案和解析>>

科目:高中数学 来源:2015-2016学年福建省高二下培优补差理数学试卷(解析版) 题型:填空题

在求两个变量的线性回归方程过程中,计算得 则该回归方程是

查看答案和解析>>

科目:高中数学 来源:2015-2016学年河北省高一下第一次月考数学试卷(解析版) 题型:解答题

已知,且的夹角为,其中的内角.

(1)求角的大小;

(2)求的取值范围.

查看答案和解析>>

科目:高中数学 来源:2015-2016学年四川省高一下期中数学试卷(解析版) 题型:选择题

已知向量,若,则( )

A. B. C. D.

查看答案和解析>>

同步练习册答案