精英家教网 > 高中数学 > 题目详情

如图,圆

(Ⅰ)若圆轴相切,求圆的方程;

(Ⅱ)已知,圆C与轴相交于两点(点在点的左侧).过点任作一条直线与圆相交于两点.问:是否存在实数,使得?若存在,求出实数的值,若不存在,请说明理由.

 

【答案】

(Ⅰ);(Ⅱ)存在,使得.

【解析】

试题分析:(Ⅰ)由圆轴相切,可知圆心的纵坐标的绝对值与半径相等.故先将圆的方程化成标准方程为:,由求得.即可得到所求圆的方程为:;(Ⅱ)先解出两点的坐标,要使得,则可以得到:,若设,那么有:,结合直线与圆的方程去探讨可得存在,使得.

试题解析:(Ⅰ)圆化成标准方程为:

若圆轴相切,那么有:

,解得,故所求圆的方程为:.

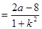
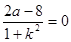
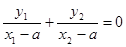
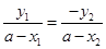
(Ⅱ)令,得

所以

假设存在实数

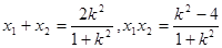
当直线AB与轴不垂直时,设直线AB的方程为

代入得,

从而

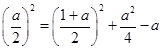
因为

因为,所以,即,得

当直线AB与轴垂直时,也成立.

故存在,使得

考点:直线与圆的位置关系.

 

练习册系列答案
相关习题

科目:高中数学 来源: 题型:

精英家教网如图,圆C:x2+y2-2x-8=0内有一点P(2,2),过点p作直线l交圆于A,B两点.
(1)当直线l经过圆心C时,求直线l的方程;
(2)当弦AB被点P平分时,写出直线l方程;
(3)当直线l倾斜角为45°时,求△ABC的面积.

查看答案和解析>>

科目:高中数学 来源: 题型:

精英家教网如图,圆M与圆N交于A、B两点,以A为切点作两圆的切线分别交圆M和圆N于C、D两点,延长DB交圆M于点E,延长CB交圆N于点F,已知BC=5,BD=10,则AB=
 
CFDE
=
 

查看答案和解析>>

科目:高中数学 来源: 题型:

(几何证明选讲选做题)如图,圆O是△ABC的外接圆,过点C的切线交AB的延长线于点D,CD=2
7
,AB=3.则BD的长为
4
4

查看答案和解析>>

科目:高中数学 来源: 题型:

如图,圆x2+y2=4与y轴的正半轴交于点B,P是圆上的动点,P点在x轴上的投影是D,点M满足
DM
=
1
2
DP

(1)求动点M的轨迹C的方程,并说明轨迹是什么图形.
(2)过点B的直线l与M点的轨迹C交于不同的两点E、F,若
BF
=2
BE
,求直线l的方程.

查看答案和解析>>

科目:高中数学 来源: 题型:

(2013•盐城一模)[A.(选修4-1:几何证明选讲)
如图,圆O的直径AB=8,C为圆周上一点,BC=4,过C作圆的切线l,过A作直线l的垂线AD,D为垂足,AD与圆O交于点E,求线段AE的长.

查看答案和解析>>

同步练习册答案