精英家教网 > 高中数学 > 题目详情

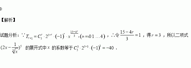
二项式的展开式中的系数等于( )

A. B. C. D.

练习册系列答案
相关习题

科目:高中数学 来源:2015-2016内蒙古高一下期末数学试卷(解析版) 题型:选择题

若直线(a>0,b>0)过点(1,1),则a+b的最小值等于( )

A.2 B.3 C.4 D.5

查看答案和解析>>

科目:高中数学 来源:2017届山东肥城市高三上学期升级统测数学(理)试卷(解析版) 题型:选择题

定义在上的函数满足在区间上,,其中,若,则( )

A. B. C. D.

查看答案和解析>>

科目:高中数学 来源:2015-2016山西省高二下期末考试理科数学卷(解析版) 题型:解答题

已知函数(其中为常数,且)的部分图象如图所示

(1)求函数的解析式;

(2)若的值.

查看答案和解析>>

科目:高中数学 来源:2015-2016山西省高二下期末考试理科数学卷(解析版) 题型:选择题

现有2位男生和3位女生站成一排,则3位女生中有且只有两位女生相邻的概率为( )

A. B. C. D.

查看答案和解析>>

科目:高中数学 来源:2015-2016内蒙古高二上第二次月考文科数学卷(解析版) 题型:解答题

设不等式的解集为M.

(1)求集合M;(2)若试比较的大小.

查看答案和解析>>

科目:高中数学 来源:2015-2016内蒙古高二上第二次月考文科数学卷(解析版) 题型:填空题

若点在直线上,则的值等于 .

查看答案和解析>>

科目:高中数学 来源:2017届宁夏高三上学期月考一数学(文)试卷(解析版) 题型:解答题

在长方体中,,过三点的平面截去长方体的一个角后,得如图所示的几何体,且这个几何体的体积为.

(1)求棱的长;

(2)若的中点为 ,求异面直线所成角的余弦值.

查看答案和解析>>

科目:高中数学 来源:2017届黑龙江双鸭山一中高三上学期质检一数学(文)试卷(解析版) 题型:选择题

集合,则( )

A. B.

C. D.

查看答案和解析>>

同步练习册答案