精英家教网 > 高中数学 > 题目详情

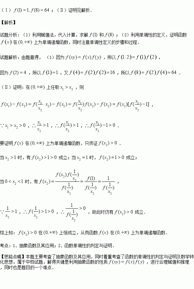
定义在上的函数满足条件:对所有正实数x,y成立,且,当时,有成立.

(Ⅰ)求的值;

(Ⅱ)证明:函数上为单调递增函数.

练习册系列答案
相关习题

科目:高中数学 来源:2015-2016学年重庆市高一上期中数学试卷(解析版) 题型:选择题

函数的值域为( )

A. B. C. D.

查看答案和解析>>

科目:高中数学 来源:2015-2016学年上海师大附中高一上期中数学试卷(解析版) 题型:填空题

函数(常数),若,则

查看答案和解析>>

科目:高中数学 来源:2016届浙江省富阳市高三上学期第二次质量检测理科数学试卷(解析版) 题型:选择题

已知点 的坐标为,将绕坐标原点逆时针旋转,则点的纵坐标为( ).

A. B. C. D.

查看答案和解析>>

科目:高中数学 来源:2015-2016学年江苏省高一上期中数学试卷(解析版) 题型:解答题

已知函数为偶函数,关于的方程的构成集合

(1)求的值;

(2)若,求证:

(3)设,若存在实数使得,求实数的取值范围.

查看答案和解析>>

科目:高中数学 来源:2015-2016学年贵州省贵阳市高一上期中数学试卷(解析版) 题型:解答题

函数是定义在上的奇函数,且

(1)求函数的解析式;

(2)判断并证明函数上的单调性;

(3)求满足的取值范围.

查看答案和解析>>

科目:高中数学 来源:2015-2016学年河南省高二12月月考文科数学卷(解析版) 题型:解答题

已知命题“存在”,命题:“曲线表示焦点在轴上的椭圆”,命题“曲线表示双曲线”.

(1)若“”是真命题,求的取值范围;

(2)若的必要不充分条件,求的取值范围.

查看答案和解析>>

科目:高中数学 来源:2015-2016学年江西新余一中高二上第一次段考理数学卷(解析版) 题型:填空题

若实数,则的最小值是 的最小值是

查看答案和解析>>

科目:高中数学 来源:2015-2016学年江西省高二上第三次文科数学试卷(解析版) 题型:解答题

已知的解为条件,关于的不等式的解为条件

(Ⅰ)若的充分不必要条件时,求实数的取值范围.

(Ⅱ)若的充分不必要条件时,求实数的取值范围.

查看答案和解析>>

同步练习册答案