精英家教网 > 高中数学 > 题目详情

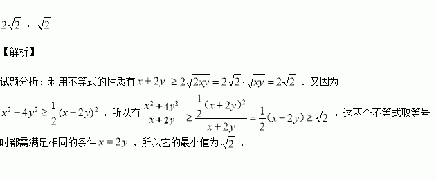
若实数,则的最小值是 的最小值是

练习册系列答案
相关习题

科目:高中数学 来源:2015-2016学年云南省高一上期中数学试卷(解析版) 题型:选择题

对于集合M、N,定义:

,则=( )

A.(,0] B.[,0) C. D.

查看答案和解析>>

科目:高中数学 来源:2015-2016学年甘肃省高一上二段段中考试数学卷(解析版) 题型:解答题

定义在上的函数满足条件:对所有正实数x,y成立,且,当时,有成立.

(Ⅰ)求的值;

(Ⅱ)证明:函数上为单调递增函数.

查看答案和解析>>

科目:高中数学 来源:2015-2016学年江西省吉安市高二上二段考理科数学卷(解析版) 题型:解答题

已知椭圆的左、右焦点分别为,离心率为,点椭圆E上.

(1)求椭圆E的方程;

(2)设过点的直线与椭圆相交于A、B两点,若AB的中点恰好为点P,求直线的方程.

查看答案和解析>>

科目:高中数学 来源:2015-2016学年福建省高二上期中理科数学试卷(解析版) 题型:填空题

已知方程,其一根在区间内,另一根在区间内,则的取值范围为

查看答案和解析>>

科目:高中数学 来源:2015-2016学年广西省高一上段考数学试卷(解析版) 题型:填空题

是幂函数,则实数的值为

查看答案和解析>>

科目:高中数学 来源:2015-2016学年青海省西宁市高一上期中数学试卷(解析版) 题型:选择题

函数 在区间上的最大值为5,最小值为1,则的取值范围是( )

A. B. C.( D.

查看答案和解析>>

科目:高中数学 来源:2015-2016学年山西省高二11月月考理科数学卷(解析版) 题型:选择题

已知均为空间单位向量,其夹角为,有下列四个命题,其中的真命题是( )

A. B. C. D.

查看答案和解析>>

科目:高中数学 来源:2016届河北省邯郸市高三一轮考试二文科数学试卷(解析版) 题型:选择题

设集合,则( )

A. B. C. D.

查看答案和解析>>

同步练习册答案