精英家教网 > 高中数学 > 题目详情

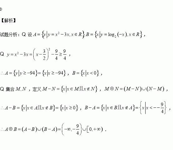
对于集合M、N,定义:

,则=( )

A.(,0] B.[,0) C. D.

练习册系列答案
相关习题

科目:高中数学 来源:2016届浙江省高三上学期期中理科数学试卷(解析版) 题型:填空题

已知,则 ;不等式的解集为

查看答案和解析>>

科目:高中数学 来源:2015-2016学年重庆市高一上期中数学试卷(解析版) 题型:选择题

函数的值域为( )

A. B. C. D.

查看答案和解析>>

科目:高中数学 来源:2015-2016学年浙江省高一4-6班上期中数学卷(解析版) 题型:解答题

已知函数

(1)当时,化简的解析式并求的对称轴和对称中心;

(2)当时,求函数的值域.

查看答案和解析>>

科目:高中数学 来源:2015-2016学年浙江慈溪中学高二2-10班上期中数学卷(解析版) 题型:选择题

如图,棱长为1的正方体中,为线段上的动点,则下列结论错误的是( )

A.

B.平面平面

C.的最大值为

D.的最小值为

查看答案和解析>>

科目:高中数学 来源:2015-2016学年四川树德、雅安中学高一10月考试数学卷(解析版) 题型:选择题

已知符号函数,若函数上单调递增,,则( )

A. B.

C. D.

查看答案和解析>>

科目:高中数学 来源:2015-2016学年上海师大附中高一上期中数学试卷(解析版) 题型:填空题

函数(常数),若,则

查看答案和解析>>

科目:高中数学 来源:2016届浙江省富阳市高三上学期第二次质量检测理科数学试卷(解析版) 题型:选择题

已知点 的坐标为,将绕坐标原点逆时针旋转,则点的纵坐标为( ).

A. B. C. D.

查看答案和解析>>

科目:高中数学 来源:2015-2016学年江西新余一中高二上第一次段考理数学卷(解析版) 题型:填空题

若实数,则的最小值是 的最小值是

查看答案和解析>>

同步练习册答案