精英家教网 > 高中数学 > 题目详情

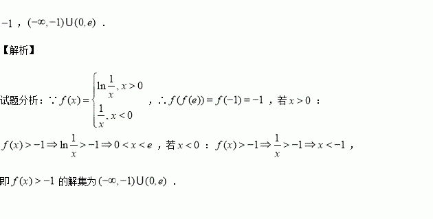
已知,则 ;不等式的解集为

练习册系列答案
相关习题

科目:高中数学 来源:2015-2016学年江苏省高二上期中考试数学试卷(解析版) 题型:解答题

已知椭圆:两个焦点之间的距离为2,且其离心率为

(1)求椭圆的标准方程;

(2)若为椭圆的右焦点,经过椭圆的上顶点B的直线与椭圆另一个交点为A,且满足,求外接圆的方程.

查看答案和解析>>

科目:高中数学 来源:2015-2016学年福建省四地六校高二上学期11月月考理科数学试卷(解析版) 题型:解答题

某城市100户居民的月平均用电量(单位:度),以[160,180),[180,200),[200,220),[220,240),[240,260),[260,280),[280,300]分组的频率分布直方图如图.

(1)求直方图中x的值;

(2)求月平均用电量的众数和中位数;

(3)在月平均用电量为[220,240),[240,260),[260,280),[280,300]的四组用户中,用分层抽样的方法抽取11户居民,则月平均用电量在[220,240)的用户中应抽取多少户?

查看答案和解析>>

科目:高中数学 来源:2016届中国人大附中高三上期中检测文科数学试卷(解析版) 题型:解答题

高三年级进行模拟考试,某班参加考试的40名同学的成绩统计如下:

规定分数在90分及以上为及格,120分及以上为优秀,成绩高于85分低于90分的同学为希望生,已知该班希望生有2名.

(1)从该班所有学生中任选一名,求其成绩及格的概率;

(2)当时,从该班所有学生中任选一名,求其成绩优秀的概率;

(3)从分数在的5名学生中,任选2名同学参加辅导,求其中恰有1名希望生的概率.

查看答案和解析>>

科目:高中数学 来源:2016届浙江省高三上学期期中文科数学试卷(解析版) 题型:填空题

已知实数满足约束条件时,所表示的平面区域为,则的最大值等于 ,若直线与区域有公共点,则的取值范围是

查看答案和解析>>

科目:高中数学 来源:2016届山东省高三上开学考试文科数学试卷(解析版) 题型:填空题

直线与圆交于两点,则为坐标原点)等于

查看答案和解析>>

科目:高中数学 来源:2016届山东省高三上开学考试理科数学试卷(解析版) 题型:选择题

已知随机变量,则( )

A. B. C. D.

查看答案和解析>>

科目:高中数学 来源:2016届安徽省等高三第三次联考文科数学卷(解析版) 题型:选择题

已知,则的最小值是( )

A.4 B.5 C.6 D.7

查看答案和解析>>

科目:高中数学 来源:2015-2016学年云南省高一上期中数学试卷(解析版) 题型:选择题

对于集合M、N,定义:

,则=( )

A.(,0] B.[,0) C. D.

查看答案和解析>>

同步练习册答案