精英家教网 > 高中数学 > 题目详情

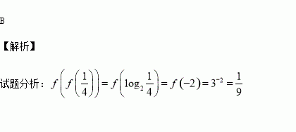
已知函数,则f[f()]= ( )

A.9 B. C.-9 D.-

练习册系列答案
相关习题

科目:高中数学 来源:2015-2016学年辽宁瓦房店市高二下期末数学(文)试卷(解析版) 题型:解答题

选修4-5:不等式选讲

已知函数

(1)当时,解不等式

(2)若存在满足,求的取值范围.

查看答案和解析>>

科目:高中数学 来源:2015-2016学年辽宁瓦房店市高二下期末数学(理)试卷(解析版) 题型:选择题

在平面直角坐标系中,过定点的直线与曲线交于点,则 ( )

A.2 B.4 C.6 D.8

查看答案和解析>>

科目:高中数学 来源:2015-2016学年辽宁省协作校高二下期末数学(文)试卷(解析版) 题型:填空题

,求:f(0)+ f(1);f(-1)+ f(2);f(-2)+ f(3),由此可以猜想出的一般性结论是_____________;

查看答案和解析>>

科目:高中数学 来源:2015-2016学年辽宁省协作校高二下期末数学(文)试卷(解析版) 题型:选择题

为庆祝冬奥申办成功,随机调查了500名性别不同的大学生是否爱好某项冬季运动,提出假设H:“爱好这项运动与性别无关”,利用2×2列联表计算的K2≈3.918,经查临界值表知P(K2≥3.841)≈0.05.则下列表述中正确的是( )

A.有95℅的把握认为“爱好这项运动与性别有关”

B.有95℅的把握认为“爱好这项运动与性别无关”

C.在犯错误的概率不超过0.5%的前提下,认为“爱好这项运动与性别有关”

D.在犯错误的概率不超过0.5%的前提下,认为“爱好这项运动与性别无关”

查看答案和解析>>

科目:高中数学 来源:2015-2016学年辽宁省协作校高二下期末数学(理)试卷(解析版) 题型:解答题

已知函数

(1)求函数的单调区间;

(2)当时,若对任意恒成立,求的取值范围.

查看答案和解析>>

科目:高中数学 来源:2015-2016学年辽宁省协作校高二下期末数学(理)试卷(解析版) 题型:填空题

与直线所围成图形的面积为

查看答案和解析>>

科目:高中数学 来源:2015-2016学年湖南娄底市高一下学期期末数学试卷(解析版) 题型:解答题

(1)已知的值.

(2)已知,求值.

查看答案和解析>>

科目:高中数学 来源:2016届陕西省高三高考全真模拟(五)考试数学(文)试卷(解析版) 题型:选择题

设复数,则的共轭复数为( )

A. B. C. D.

查看答案和解析>>

同步练习册答案