精英家教网 > 高中数学 > 题目详情

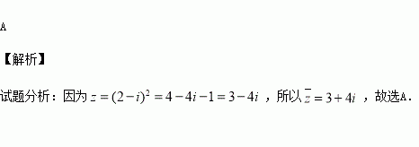
设复数,则的共轭复数为( )

A. B. C. D.

练习册系列答案
相关习题

科目:高中数学 来源:2015-2016学年辽宁省协作校高二下期末数学(文)试卷(解析版) 题型:选择题

已知函数,则f[f()]= ( )

A.9 B. C.-9 D.-

查看答案和解析>>

科目:高中数学 来源:2015-2016学年湖南娄底市高一下学期期末数学试卷(解析版) 题型:选择题

将一颗骰子先后抛掷2次,观察向上的点数,则所得的两个点数和不小于9的概率为

A. B. C. D.

查看答案和解析>>

科目:高中数学 来源:2016届陕西省高三高考全真模拟(五)考试数学(文)试卷(解析版) 题型:填空题

已知实数满足,则的最大值为

查看答案和解析>>

科目:高中数学 来源:2016届陕西省高三高考全真模拟(五)考试数学(文)试卷(解析版) 题型:选择题

一个简单组合体的三视图及尺寸如下图所示(单位:),则该组合体的体积为( )

A. B. C. D.

查看答案和解析>>

科目:高中数学 来源:2016届陕西省高三高考全真模拟(五)考试数学(理)试卷(解析版) 题型:解答题

椭圆的左、右焦点分别为,且离心率为,点为椭圆上一动点, 内切圆面积的最大值为.

(1)求椭圆的方程;

(2)设椭圆的左顶点为,过右焦点的直线与椭圆相交于两点,连接并延长分别交直线两点,以为直径的圆是否恒过定点?若是,请求出定点坐标;若不是,请说明理由.

查看答案和解析>>

科目:高中数学 来源:2016届陕西省高三高考全真模拟(五)考试数学(理)试卷(解析版) 题型:填空题

已知实数满足)的最大值为,则实数

查看答案和解析>>

科目:高中数学 来源:2016届山西省高三高考考前质量检测考试(三)数学(文)试卷(解析版) 题型:解答题

已知圆及点

(Ⅰ)若线段的垂直平分线交圆两点,试判断四边形的形状,并给与证明;

(Ⅱ)过点的直线与圆交于两点,当的面积最大时,求直线的方程.

查看答案和解析>>

科目:高中数学 来源:2016届山西省高三高考考前质量检测考试(三)数学(理)试卷(解析版) 题型:选择题

曲线在点处的切线方程为( )

A. B.

C. D.

查看答案和解析>>

同步练习册答案