精英家教网 > 高中数学 > 题目详情

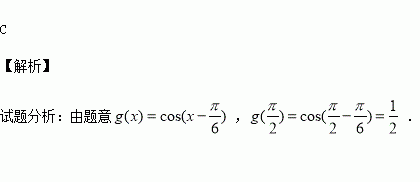
将函数向右平移个单位,得到函数的图象,则等于( )

A. B. C. D.

练习册系列答案
相关习题

科目:高中数学 来源:2017届湖北襄阳四中高三七月周考二数学(理)试卷(解析版) 题型:解答题

函数其图像与轴交于两点,且.

(1)求的取值范围;

(2)证明:;(的导函数;)

(3)设点C在函数图像上,且△ABC为等腰直角三角形,记的值.

查看答案和解析>>

科目:高中数学 来源:2016届云南昆明一中高三仿真模拟七数学(理)试卷(解析版) 题型:填空题

的展开式中,只有第5项的系数最大,则其项的系数为 .

查看答案和解析>>

科目:高中数学 来源:2016届宁夏高三五模考试数学(文)试卷(解析版) 题型:解答题

已知椭圆点,且与双曲线有相同的焦点.

(1)求椭圆的标准方程;

(2)设点在椭圆的长轴上,点是椭圆上任意一点,当最小时,点恰好落在椭圆的右顶点,求实数的取值范围.

查看答案和解析>>

科目:高中数学 来源:2016届宁夏高三五模考试数学(文)试卷(解析版) 题型:填空题

抛物线的准线方程________.

查看答案和解析>>

科目:高中数学 来源:2016届宁夏高三五模考试数学(文)试卷(解析版) 题型:选择题

某学校有男学生400名,女学生600名,为了解男女学生在学校兴趣与业余爱好方面是否存在显著差异,拟从全体学生中抽取男学生40名,女学生60名进行调查,则这种抽样方法是( )

A.抽签法 B.随机数法 C.系统抽样法 D.分层抽样法

查看答案和解析>>

科目:高中数学 来源:2016届宁夏高三五模考试数学(理)试卷(解析版) 题型:解答题

已知椭圆的离心率为,且过点.

(1)求椭圆方程;

(2)设不过原点的直线,与该椭圆交于两点,直线的斜率依次为,满足,试问:当变化时,是否为定值?若是,求出此定值,并证明你的结论;若不是请说明理由.

查看答案和解析>>

科目:高中数学 来源:2016届宁夏高三五模考试数学(理)试卷(解析版) 题型:选择题

用数学归纳法证明时,由时的假设到证明时,等式左边应添加的式子是( )

A. B.

C. D.

查看答案和解析>>

科目:高中数学 来源:2016届湖南长沙市高三月考八数学(理)试卷(解析版) 题型:选择题

某几何体的三视图如图所示,若该几何体的体积为,则( )

A. B. C. D.

查看答案和解析>>

同步练习册答案