精英家教网 > 高中数学 > 题目详情

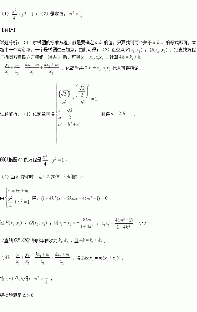
已知椭圆的离心率为,且过点.

(1)求椭圆方程;

(2)设不过原点的直线,与该椭圆交于两点,直线的斜率依次为,满足,试问:当变化时,是否为定值?若是,求出此定值,并证明你的结论;若不是请说明理由.

练习册系列答案
相关习题

科目:高中数学 来源:2017届湖北襄阳四中高三七月周考二数学(理)试卷(解析版) 题型:选择题

将函数f(x)=3sin(4x+)图象上所有点的横坐标伸长到原来的2倍,再向右平移个单位长度,得到函数y=g(x)的图象.则y=g(x)图象的一条对称轴是( )

A.x= B.x= C.x= D.x=

查看答案和解析>>

科目:高中数学 来源:2016届云南昆明一中高三仿真模拟七数学(理)试卷(解析版) 题型:选择题

已知集合,则( )

A. B. C. D.

查看答案和解析>>

科目:高中数学 来源:2016届宁夏高三五模考试数学(文)试卷(解析版) 题型:选择题

将函数向右平移个单位,得到函数的图象,则等于( )

A. B. C. D.

查看答案和解析>>

科目:高中数学 来源:2016届宁夏高三五模考试数学(文)试卷(解析版) 题型:选择题

已知集合,若,则实数的值是( )

A.0 B.0或2 C.2 D.0或1或2

查看答案和解析>>

科目:高中数学 来源:2016届宁夏高三五模考试数学(理)试卷(解析版) 题型:填空题

如图,点的坐标为,函数过点,若在矩形内随机取一点,则此点取自阴影部分的概率等于__________.

查看答案和解析>>

科目:高中数学 来源:2016届宁夏高三五模考试数学(理)试卷(解析版) 题型:选择题

如图,一个四棱锥的底面为正方形,其三视图如图所示,则这个四棱锥的侧面积为( )

A.2 B.6 C. D.

查看答案和解析>>

科目:高中数学 来源:2016届湖南长沙市高三月考八数学(文)试卷(解析版) 题型:填空题

中,过中线的中点任作一直线分别交边两点,设,则的最小值是

查看答案和解析>>

科目:高中数学 来源:2017届湖北黄石市高三9月调研数学(文)试卷(解析版) 题型:解答题

选修4-1:几何证明选讲

如图所示,已知相切,为切点,过点的割线交圆于两点,弦相交于点上一点,且

(1)求证:

(2)若,求的长.

查看答案和解析>>

同步练习册答案