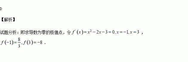
精英家教网 > 高中数学 > 题目详情

已知直线与函数的图象相切,则实数的值为( )

A. B. C. D.

练习册系列答案
相关习题

科目:高中数学 来源:2017届河北武邑中学高三上学期周考8.21数学(文)试卷(解析版) 题型:填空题

已知锐角满足,则___________.

查看答案和解析>>

科目:高中数学 来源:2017届河北定州中学高三上学期周练一数学试卷(解析版) 题型:选择题

如图所示,直线y=x-2与圆及抛物线依次交于A,B,C,D四点,则=( )

A.13 B.14 C.15 D.16

查看答案和解析>>

科目:高中数学 来源:2017届重庆第八中学高三上学期第一次月考数学(文)试卷(解析版) 题型:解答题

已知在斜三棱柱中,四边形为菱形,,点的中点,平面.

(1)求证:

(2)设直线交于点,求三棱锥的体积.

查看答案和解析>>

科目:高中数学 来源:2017届重庆第八中学高三上学期第一次月考数学(文)试卷(解析版) 题型:选择题

已知函数是定义在上周期为3的奇函数,若,则( )

A. B. C. D.

查看答案和解析>>

科目:高中数学 来源:2017届重庆第八中学高三上学期第一次月考数学(文)试卷(解析版) 题型:选择题

已知数列为等差数列,且,则( )

A. B. C. D.

查看答案和解析>>

科目:高中数学 来源:2017届天津耀华中学高三上学期开学考试数学(文)试卷(解析版) 题型:解答题

已知函数).

(1)求函数的最小正周期和单调减区间;

(2)将函数的图象向右平移个单位长度后得到函数的图象,求函数在区间上的最小值.

查看答案和解析>>

科目:高中数学 来源:2017届山西怀仁县一中高三上学期开学考数学(文)试卷(解析版) 题型:解答题

如图,在三棱锥中,平面平面.设分别为中点.

(1)求证:平面

(2)求证:平面

(3)试问在线段上是否存在点,使得过三点的平面内的任一条直线都与平面平行?若存在,指出点的位置并证明;若不存在,请说明理由.

查看答案和解析>>

科目:高中数学 来源:2017届山西怀仁县一中高三上学期开学考数学(理)试卷(解析版) 题型:选择题

执行下面的程序框图,如果输出的是,那么判断框( )

A. B. C. D.

查看答案和解析>>

同步练习册答案