精英家教网 > 高中数学 > 题目详情

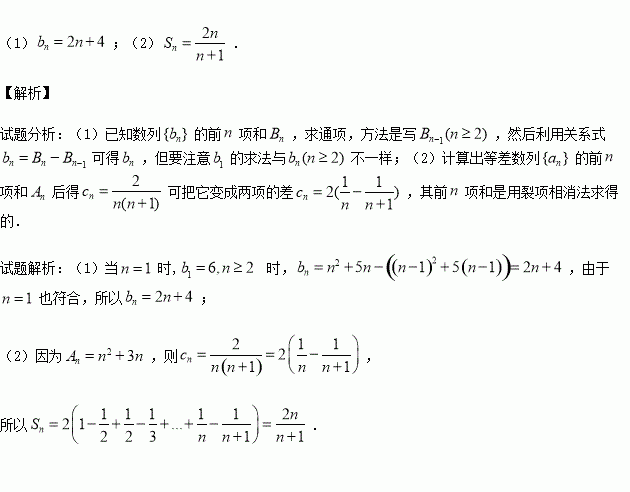
分别表示数列的前项和 ,对任意正整数

(1)求数列的通项公式;

(2)记,求的前项和.

练习册系列答案
相关习题

科目:高中数学 来源:2015-2016学年河北邢台一中高二下期中文科数学试卷(解析版) 题型:解答题

已知函数.

(1)当时,求不等式的解集;

(2)若f(x)的图象与轴围成的三角形面积大于,求的取值范围.

查看答案和解析>>

科目:高中数学 来源:2015-2016学年重庆一中高一下学期期中数学试卷(解析版) 题型:解答题

已知函数

(1)设为等差数列,且前两项和,求的值;

(2)若,证明:

查看答案和解析>>

科目:高中数学 来源:2015-2016学年重庆一中高一下学期期中数学试卷(解析版) 题型:选择题

中,角,若,则( )

A.-1 B.1 C.-3 D.3

查看答案和解析>>

科目:高中数学 来源:2015-2016学年重庆巴蜀中学高二下期中文科数学试卷(解析版) 题型:解答题

如图,的直径,上的两点,,过点的切线的延长线于点,连接于点.

(1)求证:

(2)若,试求的长.

查看答案和解析>>

科目:高中数学 来源:2015-2016学年重庆巴蜀中学高二下期中文科数学试卷(解析版) 题型:选择题

已知是定义在上的减函数,而满足,其中的导数,则( )

A.对任意的 B.对任意的

C.当且仅当 D.当且仅当

查看答案和解析>>

科目:高中数学 来源:2015-2016学年重庆巴蜀中学高二下期中文科数学试卷(解析版) 题型:选择题

已知,向量的夹角为,则的值为( )

A. B. C. D.

查看答案和解析>>

科目:高中数学 来源:2015-2016学年重庆巴蜀中学高二下期中理科数学试卷(解析版) 题型:选择题

名选手参加演讲比赛,观众甲猜测:号或号选手得第一名;观众乙猜测:号选手不可能得第一名;观众丙猜测:号选手中的一位获得第一名;观众丁猜测:号选手都不可能获得第一名,比赛后发现没有并列名次,且甲、乙、丙、丁中只有人猜对比赛结果,此人是( )

A.甲 B.乙 C.丙 D.丁

查看答案和解析>>

科目:高中数学 来源:2015-2016学年湖北省高一下期中数学试卷(解析版) 题型:填空题

已知,则的最大值为__________.

查看答案和解析>>

同步练习册答案