精英家教网 > 高中数学 > 题目详情

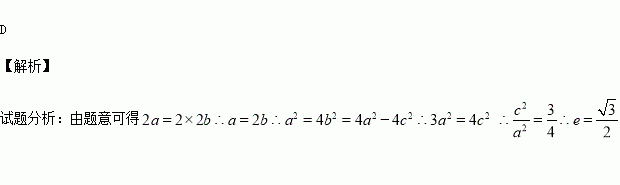
已知椭圆的长轴长是短轴长的倍,则椭圆的离心率等于

(A) (B) (C) (D)

练习册系列答案
相关习题

科目:高中数学 来源:2015-2016学年江苏省无锡市四校高二上学期期中考试数学试卷(解析版) 题型:解答题

四棱锥P﹣ABCD中,底面ABCD是边长为8的菱形,∠BAD=,若PA=PD=5,平面PAD⊥平面ABCD.

(1)求四棱锥P﹣ABCD的体积;

(2)求证:AD⊥PB.

查看答案和解析>>

科目:高中数学 来源:2015-2016学年福建省高二上学期期中考试文科数学试卷(解析版) 题型:选择题

若变量x,y满足约束条件若目标函数z=ax+by(a>0,b>0)的最大值是12,则的最小值是( ).

A. B. C. D.4

查看答案和解析>>

科目:高中数学 来源:2015-2016学年重庆市高二上第一次月考理科数学试卷(解析版) 题型:填空题

设变量满足约束条件,则的最大值为

查看答案和解析>>

科目:高中数学 来源:2015-2016学年山东省临沂市高二上期中模拟理数学试卷(解析版) 题型:选择题

已知在△ABC中,三个内角A,B,C的对边分别为a,b,c,若△ABC的面积为S,且,则tanC等于 ( )

A. B. C. D.

查看答案和解析>>

科目:高中数学 来源:2015-2016学年辽宁省大连市高二上期中理科数学试卷(解析版) 题型:选择题

焦点为,且与双曲线有相同的渐近线的双曲线方程是

(A) (B)

(C) (D)

查看答案和解析>>

科目:高中数学 来源:2015-2016学年江西省等三校高二上第一次联考数学试卷(解析版) 题型:选择题

直线3x+y-1=0的倾斜角为( )

A.60° B.30° C.120° D.150°

查看答案和解析>>

科目:高中数学 来源:2015-2016学年湖北省宜昌市高二上期中文科数学试卷(解析版) 题型:解答题

(本小题满分12分)某中学高二年级举行数学竞赛,共有800名学生参加.为了了解本次竞赛成绩,从中抽取了部分学生的成绩(得分均为整数,满分100分)进行统计。请你根据频率分布表,解答下列问题:

(1)填充下列频率分布表中的空格;

(2)估计众数、中位数和平均数;

(3)规定成绩不低于85分的同学能获奖,请估计在参加的800名学生中大概有多少名学生获奖?

分组(分数)

频数

频率

[60,70]

0.12

[70,80]

20

[80,90]

0.24

[90,100]

合计

50

1

查看答案和解析>>

科目:高中数学 来源:2016届云南省玉溪市高三上学期期中文科数学试卷(解析版) 题型:填空题

已知,则________.

查看答案和解析>>

同步练习册答案