精英家教网 > 高中数学 > 题目详情

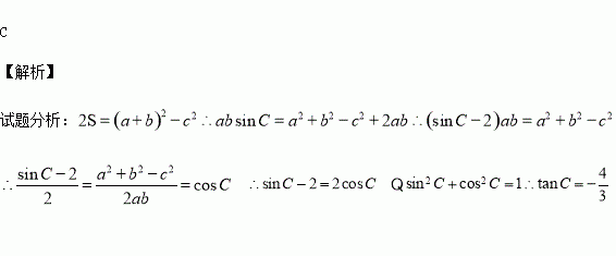
已知在△ABC中,三个内角A,B,C的对边分别为a,b,c,若△ABC的面积为S,且,则tanC等于 ( )

A. B. C. D.

练习册系列答案
相关习题

科目:高中数学 来源:2015-2016学年山东省高一上学期期中模块考试数学试卷(解析版) 题型:解答题

已知集合,集合

(1)当 时,求集合

(2)若,求实数的取值范围。

查看答案和解析>>

科目:高中数学 来源:2015-2016学年福建省高一上学期期中考试数学试卷(解析版) 题型:选择题

下列式子中成立的是( )

A. B.

C. D.

查看答案和解析>>

科目:高中数学 来源:2014-2015学年上海市高二下学期期末考试数学试卷(解析版) 题型:填空题

圆锥的侧面展开图为扇形,若其弧长为cm,半径为cm,则该圆锥的体积为

查看答案和解析>>

科目:高中数学 来源:2015-2016学年重庆市高二上第一次月考理科数学试卷(解析版) 题型:选择题

执行如图所示的程序框图,如果输入的是10,那么输出的是( )

A. B. C. D.

查看答案和解析>>

科目:高中数学 来源:2015-2016学年辽宁省大连市高二上期中文科数学试卷(解析版) 题型:选择题

已知椭圆的长轴长是短轴长的倍,则椭圆的离心率等于

(A) (B) (C) (D)

查看答案和解析>>

科目:高中数学 来源:2015-2016学年江西省等三校高二上第一次联考数学试卷(解析版) 题型:解答题

(本小题满分14分)如图,已知四边形是正方形,平面,//,,,,分别为,,的中点.

(Ⅰ)求证:平面FGH //平面;

(Ⅱ)求证:平面平面;

(Ⅲ)在线段上是否存在一点,使平面?若存在,求出线段的长;若不存在,请说明理由.

查看答案和解析>>

科目:高中数学 来源:2015-2016学年湖南省高一上学期期中考试数学试卷(解析版) 题型:解答题

已知函数f(x)=x+,且f(1)=3.

(1)求m;

(2)判断函数f(x)的奇偶性.

查看答案和解析>>

科目:高中数学 来源:2016届重庆市高三上学期第三次月考理科数学试卷(解析版) 题型:选择题

已知,则的单调增区间为( )

A.

B.

C.

D.

查看答案和解析>>

同步练习册答案