精英家教网 > 高中数学 > 题目详情

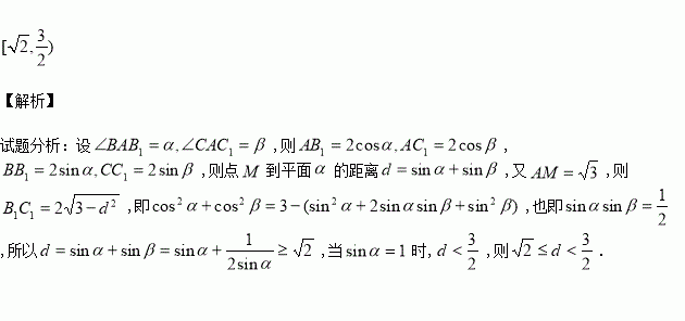
如图,边长为2的正顶点在平面上,在平面的同侧,的中点,若在平面上的射影是以为直角顶点的,则到平面的距离的取值范围是__________ .

练习册系列答案
相关习题

科目:高中数学 来源:2016届上海市高三6月模拟理科数学试卷(解析版) 题型:解答题

某公司经过测算投资百万元,投资项目与产生的经济效益之间满足:,投资项目产生的经济效益之间满足:

(1)现公司共有1千万资金可供投资,应如何分配资金使得投资收益总额最大?

(2)投资边际效应函数,当边际值小于0时,不建议投资,则应如何分配投资?

查看答案和解析>>

科目:高中数学 来源:2016届上海市高三模拟理科数学试卷(解析版) 题型:解答题

一青蛙从点开始依次水平向右和竖直向上跳动,其落点坐标依次是,(如图所示,坐标以已知条件为准),表示青蛙从点到点所经过的路程.

(1)若点为抛物线)准线上一点,点均在该抛物线上,并且直线经过该抛物线的焦点,证明.

(2)若点要么落在所表示的曲线上,要么落在所表示的曲线上,并且,试写出(不需证明);

(3)若点要么落在所表示的曲线上,要么落在所表示的曲线上,并且,求的表达式.

查看答案和解析>>

科目:高中数学 来源:2016届上海市高三模拟理科数学试卷(解析版) 题型:填空题

已知一随机变量的分布列如下表,则随机变量的方差______________.

0

4

8

查看答案和解析>>

科目:高中数学 来源:2016届浙江省义乌市5月模拟理科数学试卷(解析版) 题型:解答题

已知椭圆的右焦点为,离心率.

(1)求椭圆的方程;

(2)若过点作直线与椭圆相交于两点,设为椭圆上动点,且满足

为坐标原点).当时,求面积的取值范围.

查看答案和解析>>

科目:高中数学 来源:2016届浙江省义乌市5月模拟理科数学试卷(解析版) 题型:选择题

已知为实数,函数在区间上单调递增,则的取值范围为( )

A. B. C. D.

查看答案和解析>>

科目:高中数学 来源:2016届浙江省义乌市5月模拟理科数学试卷(解析版) 题型:选择题

”是“”的( )

A.充分不必要条件

B.必要不充分条件

C.充要条件

D.既不充分又不必要条件

查看答案和解析>>

科目:高中数学 来源:2016届河南省高三考前冲刺五文科数学试卷(解析版) 题型:选择题

已知为等比数列,,则( )

A.7 B.5 C.-5 D.-7

查看答案和解析>>

科目:高中数学 来源:2016届吉林四平一中高三五模理科数学试卷(解析版) 题型:填空题

已知中,三个内角的对边分别为,若的面积为,且,则等于 .

查看答案和解析>>

同步练习册答案