精英家教网 > 高中数学 > 题目详情
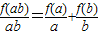
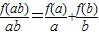
已知f(x)是定义在R上不恒为0的函数,且对于任意的a,b∈R有f(ab)=af(b)+bf(a).
(1)求f(0),f(1)的值;
(2)判断f(x)的奇偶性,并证明你的结论;
(3)若f(2)=2,求使得成立的最小正整数n的值.
【答案】分析:(1)由f(x)是定义在R上不恒为0的函数,且对于任意的a,b∈R有f(ab)=af(b)+bf(a).令a=b=0,能求出f(0);令a=b=1,能求出f(1).
(2)由f(x)的定义域为R,令a=-1,b=x,则f(-x)=-f(x)+xf(-1),再令a=-1,b=-1,得f(-1)=0,由此能得到f(x)是奇函数.
(3)当ab≠0时,,令,则g(ab)=g(a)+g(b),由此入手,能够求出符合题意的最小正整数n的值.
解答:解:(1)令a=b=0,则f(0)=0;令a=b=1,则f(1)=f(1)+f(1)⇒f(1)=0…(3分)
(2)∵f(x)的定义域为R,令a=-1,b=x,则f(-x)=-f(x)+xf(-1),
再令a=-1,b=-1,则f(1)=-f(-1)-f(-1)=-2f(-1)=0⇒f(-1)=0,
故f(-x)=-f(x),即f(x)是奇函数   …(7分)
(3)当ab≠0时,
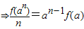
,即f(x)=xg(x),则g(ab)=g(a)+g(b)⇒g(an)=ng(a)
故f(an)=ang(an)=nang(a)=nan-1•ag(a)=nan-1f(a)
,∵,∴
n>3
故符合题意的最小正整数n的值为4.   …(12分)
点评:本题考查函数值的求法,考查函数奇偶性的判断与证明,考查满足条件的最小正整数的求法,解题时要认真审题,仔细解答,注意合理地进行等价转化.
练习册系列答案
相关习题

科目:高中数学 来源: 题型:

已知f(x)是定义在(-4,4)上的奇函数,它在定义域内单调递减 若a满足f(1-a)+f(2a-3)小于0,求a的取值范围.

查看答案和解析>>

科目:高中数学 来源: 题型:

已知f(x)是定义在[-1,1]上的奇函数,且f(1)=1,若a,b∈[-1,1],a+b≠0时,都有
f(a)+f(b)
a+b
>0

(1)证明函数a=1在f(x)=-x2+x+lnx上是增函数;
(2)解不等式:f(
1
x-1
)>0,x∈(0,+∞);
(3)若f′(x)=-2x+1+
1
x
=-
2x2-x-1
x
对所有f'(x)=0,任意x=-
1
2
恒成立,求实数x=1的取值范围.

查看答案和解析>>

科目:高中数学 来源: 题型:

8、已知f(x)是定义在R上的函数,f(1)=1,且对任意x∈R都有f(x+5)≥f(x)+5,f(x+1)≤f(x)+1.若g(x)=f(x)+1-x,则g(2009)=(  )

查看答案和解析>>

科目:高中数学 来源: 题型:

已知f(x)是定义在实数集R上的增函数,且f(1)=0,函数g(x)在(-∞,1]上为增函数,在[1,+∞)上为减函数,且g(4)=g(0)=0,则集合{x|f(x)g(x)≥0}=(  )

查看答案和解析>>

科目:高中数学 来源: 题型:

已知f(x)是定义在(-∞,+∞)上的偶函数,且在(-∞,0)上是增函数,设a=f(log47),b=f(log
12
3)
,c=f(0.2-0.6),则a,b,c的大小关系
a>b>c
a>b>c

查看答案和解析>>

同步练习册答案