精英家教网 > 高中数学 > 题目详情

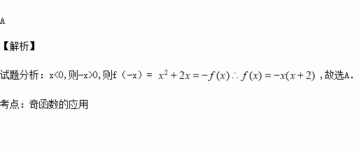
已知函数上为奇函数,且当时,,则当时,的解析式是( )

A.

B.

C.

D.

练习册系列答案
相关习题

科目:高中数学 来源:2015-2016学年福建厦门双十中学高二上期中文科数学试卷(解析版) 题型:选择题

设数列的前项和为,且,则( ).

A. B. C. D.

查看答案和解析>>

科目:高中数学 来源:2015-2016学年云南省蒙自市高二10月月考文科数学试卷(解析版) 题型:选择题

已知数列是首项为的等比数列,其前项和为,且,则数列的前5项和为

A. B. C. D.

查看答案和解析>>

科目:高中数学 来源:2015-2016学年四川省雅安市高二11月月考理科数学试卷(解析版) 题型:填空题

长方体棱长分别为,则其外接球的表面积是 ___ __________.

查看答案和解析>>

科目:高中数学 来源:2015-2016学年云南省蒙自市高一10月月考数学试卷(解析版) 题型:选择题

已知全集U={0,1,2},则集合U的真子集共有( ).

A.5个 B.6个 C.7个 D.8个

查看答案和解析>>

科目:高中数学 来源:2015-2016学年江苏省南通市高二上学期期中考试数学试卷(解析版) 题型:填空题

关于直线的对称点为 则直线的方程为__________________.

查看答案和解析>>

科目:高中数学 来源:2015-2016学年江苏省南通市高一上第一阶段考试数学试卷(解析版) 题型:解答题

已知函数

(1)判断函数的奇偶性,并加以证明;

(2)用定义证明上是减函数;

查看答案和解析>>

科目:高中数学 来源:2016届云南师范大学附属中学高三月考四理科数学试卷(解析版) 题型:填空题

中,角A,B,C的对边分别为a,b,c,若的面积,则 .

查看答案和解析>>

科目:高中数学 来源:2016届上海市七校高三上12月联考文科数学试卷(解析版) 题型:解答题

(2015秋•上海月考)已知函数f(x)=x2+|x﹣a|.

(1)当a=1时,求函数f(x)的最小值;

(2)试讨论函数f(x)的奇偶性,并说明理由.

查看答案和解析>>

同步练习册答案