精英家教网 > 高中数学 > 题目详情

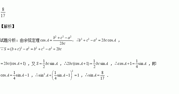
中,角A,B,C的对边分别为a,b,c,若的面积,则 .

练习册系列答案
相关习题

科目:高中数学 来源:2015-2016学年湖南师大附中高二上学期第三次检测数学卷(解析版) 题型:填空题

如果一个水平放置的图形的斜二测直观图是一个底角为,腰和上底均为1的等腰梯形,那么原平面图形的面积是

查看答案和解析>>

科目:高中数学 来源:2015-2016学年浙江省金兰教育合作组织高一上学期期中联考数学试卷(解析版) 题型:选择题

已知函数上为奇函数,且当时,,则当时,的解析式是( )

A.

B.

C.

D.

查看答案和解析>>

科目:高中数学 来源:2015-2016学年山东省淄博市高一上学期期中考试数学试卷(解析版) 题型:填空题

函数在区间上的最大值与最小值的和为3,则实数的值等于_____.

查看答案和解析>>

科目:高中数学 来源:2015-2016学年吉林省高一上学期期末数学试卷(解析版) 题型:选择题

已知函数的部分图象如图所示,下列说法正确的是( )

(A)的最小正周期为

(B)的图象关于直线对称

(C)的图象关于点对称

(D)当时,方程上有两个不相等的实数根

查看答案和解析>>

科目:高中数学 来源:2015-2016学年河南省高二12月考理科数学试卷(解析版) 题型:填空题

的面积为,则角=__________.

查看答案和解析>>

科目:高中数学 来源:2015-2016学年福建三明一中高二上第二次月考理科数学卷(解析版) 题型:解答题

设曲线表示的导函数。

(Ⅰ)当时,求函数的单调区间;

(Ⅱ)求函数的极值;

(Ⅲ)当时,对于曲线上的不同两点,是否存在唯一,使直线的斜率等于?并证明你的结论。

查看答案和解析>>

科目:高中数学 来源:2015-2016学年内蒙古巴彦淖尔一中高二上期中文科数学卷(解析版) 题型:解答题

已知抛物线C:,P为C上一点且纵坐标为2,Q,R是C上的两个动点,且

(1)求过点P,且与C恰有一个公共点的直线的方程;

(2)求证:QR过定点.

查看答案和解析>>

科目:高中数学 来源:2016届陕西省商洛市高三上第二次模拟理科数学试卷(解析版) 题型:填空题

(2013•重庆)设f(x)=a(x﹣5)2+6lnx,其中a∈R,曲线y=f(x)在点(1,f(1))处的切线与y轴相交于点(0,6).

(1)确定a的值;

(2)求函数f(x)的单调区间与极值.

查看答案和解析>>

同步练习册答案