精英家教网 > 高中数学 > 题目详情

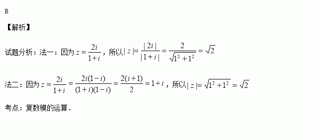
设i是虚数单位,复数,则|z|=( )

A.1 B. C. D.2

练习册系列答案
相关习题

科目:高中数学 来源:2014-2015学年吉林省长春市高三质量监测三理科数学试卷(解析版) 题型:解答题

(本小题满分10分)选修4-4:坐标系与参数方程

在直角坐标系中,圆的参数方程为为参数).

(1)以原点为极点、轴正半轴为极轴建立极坐标系,求圆的极坐标方程;

(2)已知,圆上任意一点,求面积的最大值.

查看答案和解析>>

科目:高中数学 来源:2014-2015学年河南省郑州市毕业年级第二次质量预测文科数学试卷(解析版) 题型:选择题

已知双曲线的一个焦点与抛物线= 24y的焦点重合,其一条渐近线的倾斜角为300,则该双曲线的标准方程为( )

A. B.

C. D.

查看答案和解析>>

科目:高中数学 来源:2014-2015学年河南省郑州市毕业年级第二次质量预测理科数学试卷(解析版) 题型:填空题

已知点A(-1,1)、B(0,3)、C(3,4),则向量方向上的投影为 .

查看答案和解析>>

科目:高中数学 来源:2014-2015学年河南省郑州市毕业年级第二次质量预测理科数学试卷(解析版) 题型:选择题

6.有四个关于三角函数的命题:

:sinx=siny =>x+y=或x=y,

其中真命题是( )

A.p1,p3 B.p2,p3 C.p1,p4 D.p2,p4

查看答案和解析>>

科目:高中数学 来源:2014-2015学年北京市延庆县高三3月模拟文科数学试卷(解析版) 题型:解答题

(本小题满分13分)直角坐标系中,锐角的终边与单位圆的交点为,将

逆时针旋转到,使,其中与单位圆的交点,设的坐标为

(Ⅰ)若的横坐标为,求

(Ⅱ)求的取值范围.

查看答案和解析>>

科目:高中数学 来源:2014-2015学年北京市延庆县高三3月模拟文科数学试卷(解析版) 题型:填空题

复数在复平面上对应的点的坐标为 .

查看答案和解析>>

科目:高中数学 来源:2014-2015学年北京市延庆县高三3月模拟理科数学试卷(解析版) 题型:填空题

已知,集合,,如果,则k的取值范围是 .

查看答案和解析>>

科目:高中数学 来源:2014-2015学年北京市海淀区高三下学期期中练习(一模)文科数学试卷(解析版) 题型:填空题

已知为等差数列,为其前项和.若,则公差________;的最小值为 .

查看答案和解析>>

同步练习册答案