精英家教网 > 高中数学 > 题目详情

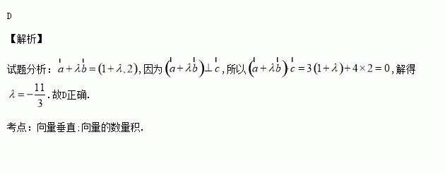
已知向量,若为实数,,则( )

A. B. C. D.

练习册系列答案
相关习题

科目:高中数学 来源:2014-2015学年北京市顺义区高三第一次统一练习(一模)理科数学试卷(解析版) 题型:解答题

(本小题满分13分)在中,角所对的边分别为,已知, .

(Ⅰ)求的值;

(Ⅱ)求的值.

查看答案和解析>>

科目:高中数学 来源:2014-2015学年北京市海淀区高三下学期期中练习(一模)理科数学试卷(解析版) 题型:填空题

若存在实数,使得函数有两个零点,则的取值范围是 .

查看答案和解析>>

科目:高中数学 来源:2014-2015学年山东省滕州市高一上学期期末考试数学试卷(解析版) 题型:解答题

(本小题满分12分)函数是以2为周期的偶函数,且当时,

(1)求上的解析式;

(2)求的值.

查看答案和解析>>

科目:高中数学 来源:2014-2015学年山东省滕州市高一上学期期末考试数学试卷(解析版) 题型:填空题

已知集合,则

查看答案和解析>>

科目:高中数学 来源:2014-2015学年山东省滕州市高一上学期期末考试数学试卷(解析版) 题型:选择题

的值是( )

A. B. C. D.

查看答案和解析>>

科目:高中数学 来源:2014-2015学年山东省菏泽市高二上学期期末考试文科数学试卷(解析版) 题型:填空题

,则的最小值是 .

查看答案和解析>>

科目:高中数学 来源:2014-2015学年山东省菏泽市高二上学期期末考试理科数学试卷(解析版) 题型:解答题

(本小题满分12分)已知等差数列的首项,前n项和为Sn,且成等差数列.

(1)求数列的通项公式;

(2)若数列{bn}为递增的等比数列,且集合,设数列的前n项和为,求

查看答案和解析>>

科目:高中数学 来源:2014-2015学年天津市南开区高三一模文科数学试卷(解析版) 题型:解答题

(本小题满分13分)设数列{an}满足:a1=1,an+1=3an,n∈N*.设Sn为数列{bn}的前n项和,已知b1≠0,2bn–b1=S1Sn,n∈N*.

(Ⅰ)求数列{an},{bn}的通项公式;

(Ⅱ)设cn=bnlog3an,求数列{cn}的前n项和Tn.

查看答案和解析>>

同步练习册答案