精英家教网 > 高中数学 > 题目详情
已知离散型随机变量X的分布列如右表,则常数q的值为( )
x12
pq2

A.-1
B.1
C.
D.
【答案】分析:利用概率的基本性质即可得出.
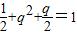
解答:解:由概率的规范性可得:,化为2q2+q-1=0,又q≥0,解得
故选D.
点评:正确理解概率的基本性质是解题的关键.
练习册系列答案
相关习题

科目:高中数学 来源: 题型:

已知离散型随机变量X的分布列为
X 0 1 2
P 0.5 1-2q q2
则常数q=
1-
2
2
1-
2
2

查看答案和解析>>

科目:高中数学 来源: 题型:

已知离散型随机变量X的概率分布列为
X 1 3 5
P 0.5 m 0.2
则其方差D(X)等于(  )

查看答案和解析>>

科目:高中数学 来源: 题型:

已知离散型随机变量X服从二项分布X~B(n,p)且E(X)=3,D(X)=2,则n与p的值分别为(  )

查看答案和解析>>

科目:高中数学 来源: 题型:

(2013•广东)已知离散型随机变量X的分布列为
X 1 2 3
P
3
5
3
10
1
10
则X的数学期望E(X)=(  )

查看答案和解析>>

科目:高中数学 来源: 题型:

精英家教网已知离散型随机变量x的分布列如右表.若Eξ=0,Dξ=1,则符合条件的一组数(a,b,c)=
 

查看答案和解析>>

同步练习册答案