精英家教网 > 高中数学 > 题目详情

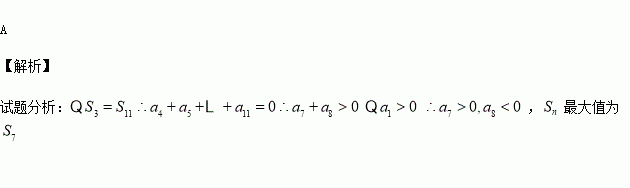
等差数列中,a1>0,d≠0,S3=S11,则Sn中的最大值是 ( )

A.S7 B.S7或S8 C.S14 D.S8

练习册系列答案
相关习题

科目:高中数学 来源:2016届浙江宁波效实中学高三上期中考试文科数学试卷(解析版) 题型:解答题

为等差数列的前项和,已知

(1)求数列的通项公式

(2)求证:

查看答案和解析>>

科目:高中数学 来源:2015-2016学年四川绵阳南山中学高二上期中理科数学试卷(解析版) 题型:填空题

已知是椭圆的两个焦点,为椭圆上任意一点,且.若的面积为,则 .

查看答案和解析>>

科目:高中数学 来源:2015-2016学年福建省师大附高二上期中理科数学试卷(解析版) 题型:填空题

已知关于的不等式的解集为,则等于

查看答案和解析>>

科目:高中数学 来源:2015-2016学年陕西省高二上学期期中考试数学试卷(解析版) 题型:选择题

在△ABC中,若,则△ABC的形状是( )

A.等腰三角形 B.直角三角形

C.等腰直角三角形 D.等腰或直角三角形

查看答案和解析>>

科目:高中数学 来源:2015-2016学年辽宁省大连市高二10月月考数学试卷(解析版) 题型:解答题

某校高三某班的一次数学测试成绩的茎叶图和频率分布直方图都受到不同程度的破坏,但可见部分如下图,据此解答如下问题:

(1)求分数在的频率及全班的人数;

(2)求分数在之间的频数,并计算频率分布直方图中间的矩形的高;

(3)若要从分数在之间的试卷中任取两份分析学生失分情况,在抽取的试卷中,求至少有一份在之间的概率。

查看答案和解析>>

科目:高中数学 来源:2015-2016学年辽宁省大连市高二10月月考数学试卷(解析版) 题型:选择题

为了调查某厂2 000名工人生产某种产品的能力,随机抽查了20位工人某天生产该产品的数量,产品数量的分组区间为[10,15),[15,20),[20,25),[25,30),[30, 35],频率分布直方图如图所示.工厂规定从生产低于20件产品的工人中随机地选取2位工人进行培训,则这2位工人不在同一组的概率是( )

A. B. C. D.

查看答案和解析>>

科目:高中数学 来源:2015-2016学年湖北省枣阳市高二10月月考理科数学试卷(解析版) 题型:选择题

某程序框图如图所示,该程序运行后输出的值是 ( )

A.8 B.6 C.4 D.3

查看答案和解析>>

科目:高中数学 来源:2014-2015学年浙江省等三校高二上学期期中考试数学试卷(解析版) 题型:填空题

等比数列{an}的前n项和为Sn,已知S1,2S2,3S3成等差数列,则{an}的公比为________.

查看答案和解析>>

同步练习册答案