精英家教网 > 高中数学 > 题目详情

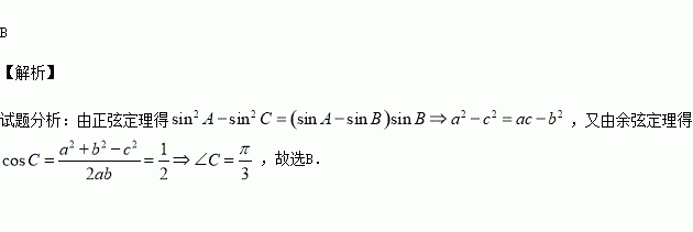
中,分别是三内角的对边,且,则角等于( )

A. B. C. D.

练习册系列答案
相关习题

科目:高中数学 来源:2015-2016学年河北石家庄一中高二下第二次月考文数学卷(解析版) 题型:选择题

对任意非零实数,若的运算规则如下图的程序框图,则的值是( )

A. B. C. D.

查看答案和解析>>

科目:高中数学 来源:2015-2016学年重庆市高一下期中文科数学试卷(解析版) 题型:选择题

中,,则的形状一定是( )

A.等边三角形 B.等腰三角形 C.直角三角形 D.等腰直角三角形

查看答案和解析>>

科目:高中数学 来源:2015-2016学年重庆市高一下期中理科数学试卷(解析版) 题型:填空题

已知数列的前项和为,则_________.

查看答案和解析>>

科目:高中数学 来源:2015-2016学年重庆市高一下期中理科数学试卷(解析版) 题型:选择题

已知是三角形所在平面内一定点,动点满足,则点轨迹一定通过三角形的( )

A.重心 B.外心 C.垂心 D.内心

查看答案和解析>>

科目:高中数学 来源:2015-2016学年重庆市高二下期中文科数学试卷(解析版) 题型:解答题

以原点为极点,轴的非负半轴为极轴建立极坐标系,已知某圆的极坐标方程为.

(1)将极坐标方程化为普通方程,并选择恰当的参数写出它的参数方程;

(2)若点在该圆上,求的最大值和最小值.

查看答案和解析>>

科目:高中数学 来源:2015-2016学年重庆市高二下期中文科数学试卷(解析版) 题型:填空题

已知正数,对任意,不等式恒成立,则实数的取值范围是

查看答案和解析>>

科目:高中数学 来源:2015-2016学年重庆市高二下期中理科数学试卷(解析版) 题型:解答题

将圆上每一点的横坐标保持不变,纵坐标变为原来的倍,得曲线.

(1)写出的参数方程;

(2)设直线的交点为,以坐标原点为极点,轴正半轴为极轴建立极坐标系,求过线段的中点且与垂直的直线的极坐标方程.

查看答案和解析>>

科目:高中数学 来源:2015-2016学年河北省高二下期中文科数学试卷(解析版) 题型:选择题

是两条不同的直线,是一个平面,则下列说法正确的是( )

A.若,则 B.若,则

C.若,则 D.若,则

查看答案和解析>>

同步练习册答案