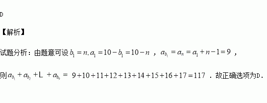
精英家教网 > 高中数学 > 题目详情

已知数列都是公差为1的等差数列,是正整数,若,则( )

A. B. C. D.

练习册系列答案
相关习题

科目:高中数学 来源:2015-2016学年云南省高一上期中数学试卷(解析版) 题型:选择题

,则( )

A. B. C. D.

查看答案和解析>>

科目:高中数学 来源:2015-2016学年甘肃省高一上二段段中考试数学卷(解析版) 题型:选择题

是定义在同一区间上的两个函数,若函数

上有两个不同的零点,则称上是“关联函数”,区间称为“关联区间”.若

上是“关联函数”,则m的取值范围为( )

A. B. C. D.

查看答案和解析>>

科目:高中数学 来源:2015-2016学年江西省吉安市高二上二段考理科数学卷(解析版) 题型:选择题

四位好朋友在一次聚会上,他们按照各自的爱好选择了形状不同、内容高度相等、杯口半径相等的圆口酒杯,如下图所示,盛满酒后他们约定:先各自饮杯中酒的一半,设剩余酒的高度从左到右依次为,则它们的大小关系正确的是( )

A. B. C. D.

查看答案和解析>>

科目:高中数学 来源:2015-2016学年福建省高二上期中理科数学试卷(解析版) 题型:选择题

若关于的二次不等式的解集为实数集,则实数的取值范围是( )

A. B.

C. D.

查看答案和解析>>

科目:高中数学 来源:2015-2016学年广西省高一上段考数学试卷(解析版) 题型:选择题

函数在区间上递减,则实数的取值范围是( )

A. B. C. D.

查看答案和解析>>

科目:高中数学 来源:2015-2016学年浙江省高二上期中数学试卷(解析版) 题型:解答题

数列满足,……,

(1)求的值;

(2)求之间的关系式

(3)求证:

查看答案和解析>>

科目:高中数学 来源:2015-2016学年河南省高一12月月考数学试卷(解析版) 题型:填空题

已知是定义在上的偶函数,且当时,,若对任意实数,都有恒成立,则实数的取值范围是

查看答案和解析>>

科目:高中数学 来源:2015-2016学年湖南省衡阳市高二上期中理科数学试卷(解析版) 题型:选择题

与直线平行的抛物线的切线方程为( )

A、 B、

C、 D、

查看答案和解析>>

同步练习册答案