精英家教网 > 高中数学 > 题目详情

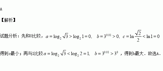
,则( )

A. B. C. D.

练习册系列答案
相关习题

科目:高中数学 来源:2016届浙江省高三上学期期中理科数学试卷(解析版) 题型:选择题

给出下列3个命题,其中正确的个数是 ( )

①若“命题为真”,则“命题为真”;

②命题“”的否定是“”;

③“”是““的充要条件 .

A.1个 B.2个 C. 3个 D.0个

查看答案和解析>>

科目:高中数学 来源:2015-2016学年浙江省高二上期中数学试卷(解析版) 题型:解答题

如图,已知四边形是边长为1的正方形,⊥平面⊥平面

(Ⅰ)证明:

(Ⅱ)若,且二面角的大小为,求的长.

查看答案和解析>>

科目:高中数学 来源:2015-2016学年浙江省高一4-6班上期中数学卷(解析版) 题型:填空题

已知函数有且仅有一个正实数的零点,则实数的取值范围是

查看答案和解析>>

科目:高中数学 来源:2015-2016学年浙江慈溪中学高二2-10班上期中数学卷(解析版) 题型:选择题

是三个互不重合的平面,是直线,给出下列命题:①,则;②若,则;③若内的射影互相垂直,则;④若,则,其中正确命题的个数为( )

A.0 B.1 C.2 D.3

查看答案和解析>>

科目:高中数学 来源:2015-2016学年四川树德、雅安中学高一10月考试数学卷(解析版) 题型:选择题

是定义在上的奇函数,当时,,则上的表达式为( )

A. B. C. D.

查看答案和解析>>

科目:高中数学 来源:2015-2016学年上海师大附中高一上期中数学试卷(解析版) 题型:填空题

集合的真子集的个数是

查看答案和解析>>

科目:高中数学 来源:2015-2016学年辽宁沈阳二中高二12月月考文科数学卷(解析版) 题型:解答题

设各项均为正数的数列的前项和为,满足构成等比数列.

(1)证明:

(2)求数列的通项公式.

查看答案和解析>>

科目:高中数学 来源:2015-2016学年江西新余一中高二上第一次段考理数学卷(解析版) 题型:选择题

已知数列都是公差为1的等差数列,是正整数,若,则( )

A. B. C. D.

查看答案和解析>>

同步练习册答案