精英家教网 > 高中数学 > 题目详情

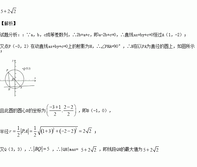
若实数a,b,c成等差数列,点P(-3,2)在动直线ax+by+c=0上的射影为H,点Q(3,3),则线段QH的最大值为

练习册系列答案
相关习题

科目:高中数学 来源:2015-2016学年福建三明一中高二上第二次月考文数学卷(解析版) 题型:选择题

若点在椭圆上,分别是椭圆的两焦点,且,则的面积是( )

A. B. C. D.

查看答案和解析>>

科目:高中数学 来源:2015-2016学年云南省蒙自市高二10月月考理科数学试卷(解析版) 题型:选择题

已知是定义在上的奇函数,且满足,则的值为

A. B. C. D.

查看答案和解析>>

科目:高中数学 来源:2015-2016学年云南省蒙自市高一10月月考数学试卷(解析版) 题型:选择题

已知全集U={0,1,2},则集合U的真子集共有( ).

A.5个 B.6个 C.7个 D.8个

查看答案和解析>>

科目:高中数学 来源:2015-2016学年江苏省南通市高二上学期期中考试数学试卷(解析版) 题型:解答题

如图,已知椭圆C:(a>b>0)的右焦点为F(c,0),下顶点为A(0,﹣b),直线AF与椭圆的右准线交于点B,若F恰好为线段AB的中点.

(1)求椭圆C的离心率;

(2)若直线AB与圆x2+y2=2相切,求椭圆C的方程.

查看答案和解析>>

科目:高中数学 来源:2015-2016学年江苏省南通市高一上第一阶段考试数学试卷(解析版) 题型:解答题

已知函数

(1)判断函数的奇偶性,并加以证明;

(2)用定义证明上是减函数;

查看答案和解析>>

科目:高中数学 来源:2015-2016学年山东省淄博市高一上学期期中考试数学试卷(解析版) 题型:选择题

已知是R上的奇函数,且当,则当的解析式

是( )

A. B. C. D.

查看答案和解析>>

科目:高中数学 来源:2015-2016学年河南省高二12月考理科数学试卷(解析版) 题型:选择题

在△ABC中,内角A,B,C所对的边分别是a,b,c.若,C=,则△ABC

的面积是( )

A.3 B. C. D.3

查看答案和解析>>

科目:高中数学 来源:2016届上海市七校高三上12月联考理科数学试卷(解析版) 题型:填空题

(2015秋•上海月考)设[x]表示不超过x的最大整数,若[π]=3,[﹣1.2]=﹣2.给出下列命题:

①对任意的实数x,都有x﹣1<[x]≤x.

②对任意的实数x、y,都有[x+y]≥[x]+[y].

③[lg1]+[lg2]+[lg3]+…+[lg2014]+[lg2015]=4940.

④若函数f(x)=[x[x]],当x∈[0,n)(n∈N*)时,令f(x)的值域为A,记集合A中元素个数为an,则的最小值为,其中所有真命题的序号为

查看答案和解析>>

同步练习册答案