精英家教网 > 高中数学 > 题目详情

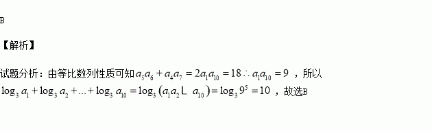
等比数列的各项均为正数,且,则

A. B.

C. D.

练习册系列答案
相关习题

科目:高中数学 来源:2015-2016学年湖南省常德市高一上学期期中数学试卷(解析版) 题型:选择题

已知函数在区间上是减函数,则实数m的取值范围是( )

A.

B.

C.

D.

查看答案和解析>>

科目:高中数学 来源:2016届浙江宁波效实中学高三上期中考试理科数学试卷(解析版) 题型:解答题

二次函数的图象过原点,且对,恒有.设数列满足

(1)求函数的表达式;

(2)证明:

(3)证明:

查看答案和解析>>

科目:高中数学 来源:2016届河南省原名校高三上学期第一次联考文科数学试卷(解析版) 题型:解答题

(本小题满分10分)已知是等差数列的前项和,且

(1)求数列的通项公式;

(2)设是数列的前项和,求的值.

查看答案和解析>>

科目:高中数学 来源:2016届河南省原名校高三上学期第一次联考理科数学试卷(解析版) 题型:选择题

《九章算术》“竹九节”问题:现有一根九节的竹子,自上而下各节的容积成等差数列,上面节的容积共3升,下面3节的容积共4升,则第五节的容积为( )

A.升 B.升 C.升 D.1升

查看答案和解析>>

科目:高中数学 来源:2015-2016学年四川绵阳南山中学高二上期中理科数学试卷(解析版) 题型:填空题

已知等差数列的公差为其前的和.若,则数列的前取得最小值时,的值为 .

查看答案和解析>>

科目:高中数学 来源:2015-2016学年湖北省高二上期中文科数学试卷(解析版) 题型:选择题

,若,则( )

A. B. C. D.

查看答案和解析>>

科目:高中数学 来源:2015-2016学年陕西省高二上学期期中考试数学试卷(解析版) 题型:选择题

某种细菌在培养过程中,每20分钟分裂一次(一个分裂二个)经过1小时,这种细菌由1个可以繁殖成( )

A.4个 B.7个 C.8个 D.16个

查看答案和解析>>

科目:高中数学 来源:2015-2016学年广东省普宁市高一上学期期中考试数学试卷(解析版) 题型:填空题

若向量的夹角为,则

查看答案和解析>>

同步练习册答案