精英家教网 > 高中数学 > 题目详情

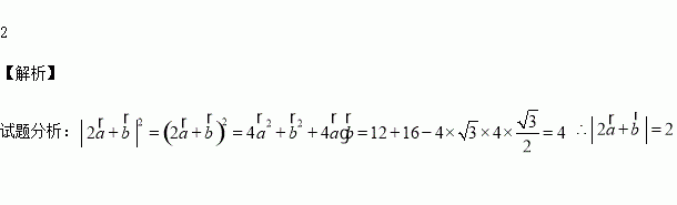
若向量的夹角为,则

练习册系列答案
相关习题

科目:高中数学 来源:2015-2016学年四川绵阳南山中学高二上期中文科数学试卷(解析版) 题型:选择题

等比数列的各项均为正数,且,则

A. B.

C. D.

查看答案和解析>>

科目:高中数学 来源:2015-2016学年湖北省枣阳市高二10月月考理科数学试卷(解析版) 题型:解答题

(本小题满分14分)省环保研究所对市中心每天环境放射性污染情况进行调查研究后,发现一天中环境综合放射性污染指数f(x)与时刻x(时)的关系为f(x)=+2a+,x∈,其中a是与气象有关的参数,且a∈,若取每天f(x)的最大值为当天的综合放射性污染指数,并记作M(a).

(1)令t=,x∈,求t的取值范围;

(2)省政府规定,每天的综合放射性污染指数不得超过2,试问:目前市中心的综合放射性污染指数是否超标?

查看答案和解析>>

科目:高中数学 来源:2015-2016学年河南省英文学校高一上学期期中考试数学试卷(解析版) 题型:解答题

(本小题满分10分)已知

(Ⅰ)若,求的取值范围;

(Ⅱ)若,求的取值范围.

查看答案和解析>>

科目:高中数学 来源:2015-2016学年广东省英德市高二上学期第一次月考理科数学试卷(解析版) 题型:选择题

设椭圆的左、右焦点分别为,过作椭圆长轴的垂线交椭圆于点,若为等腰直角三角形,则椭圆的离心率为( )

A. B. C. D.

查看答案和解析>>

科目:高中数学 来源:2015-2016学年甘肃省定西市高一上学期第一次月考数学试卷(解析版) 题型:填空题

如果上的最大值是,那么上的最小值是_____.

查看答案和解析>>

科目:高中数学 来源:2014-2015学年浙江省等三校高二上学期期中考试数学试卷(解析版) 题型:填空题

数列{an}的前n项和为Sn,且Sn=n2-n(n∈N*),则通项an=________.

查看答案和解析>>

科目:高中数学 来源:2015-2016学年四川省高一上学期第一学月考数学试卷(解析版) 题型:解答题

(本小题满分10分)如图,有一块半径为2的半圆形纸片,计划剪裁成等腰梯形ABCD的形状,它的下底AB是⊙O的直径,上底CD的端点在圆周上,设CD=2x,梯形ABCD的周长为y.

(1)求出y关于x的函数f(x)的解析式;

(2)求y的最大值,并指出相应的x值.

查看答案和解析>>

科目:高中数学 来源:2015-2016学年广东省普宁市高一上学期期中考试数学试卷(解析版) 题型:选择题

若偶函数上是增函数,则下列关系式中成立的是( )

A.

B.

C.

D.

查看答案和解析>>

同步练习册答案