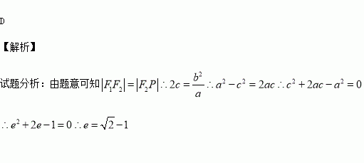
精英家教网 > 高中数学 > 题目详情

设椭圆的左、右焦点分别为,过作椭圆长轴的垂线交椭圆于点,若为等腰直角三角形,则椭圆的离心率为( )

A. B. C. D.

练习册系列答案
相关习题

科目:高中数学 来源:2016届河南省原名校高三上学期第一次联考理科数学试卷(解析版) 题型:选择题

《九章算术》“竹九节”问题:现有一根九节的竹子,自上而下各节的容积成等差数列,上面节的容积共3升,下面3节的容积共4升,则第五节的容积为( )

A.升 B.升 C.升 D.1升

查看答案和解析>>

科目:高中数学 来源:2015-2016学年江苏省泰兴市高二上学期期中考试数学试卷(解析版) 题型:解答题

(本小题满分14分)已知命题:实数满足:方程)表示双曲线;命题:实数满足方程表示焦点在轴上的椭圆,且的必要不充分条件,求实数的取值范围。

查看答案和解析>>

科目:高中数学 来源:2015-2016学年辽宁省大连市高一上学期期中考试数学试卷(解析版) 题型:解答题

,求的值

查看答案和解析>>

科目:高中数学 来源:2015-2016学年河南省英文学校高一上学期期中考试数学试卷(解析版) 题型:选择题

设函数 ,若是奇函数,则的值是( )

A. B. C. D.

查看答案和解析>>

科目:高中数学 来源:2015-2016学年广东省普宁市高一上学期期中考试数学试卷(解析版) 题型:填空题

若向量的夹角为,则

查看答案和解析>>

科目:高中数学 来源:2015-2016学年甘肃省定西市高一上学期第一次月考数学试卷(解析版) 题型:选择题

下列函数中,在区间(0,+∞)上是增函数的是( )

A. B. C. D.

查看答案和解析>>

科目:高中数学 来源:2015-2016学年浙江省平湖市高一10月月考数学试卷(解析版) 题型:解答题

(本题8分)设二次,不等式的解集是

(1)求

(2)当函数的定义域是时,求函数的最大值

查看答案和解析>>

科目:高中数学 来源:2015-2016学年河北省高一上学期第一次月考数学试卷(解析版) 题型:选择题

下列四组中的f(x),g(x),表示同一个函数的是( ).

A.f(x)=1,g(x)=x0

B.f(x)=x-1,g(x)=-1

C.f (x)=x2,g(x)=()4

D.f(x)=x3,g(x)=

查看答案和解析>>

同步练习册答案